熱線:021-66110810,66110819
手機:13564362870

熱線:021-66110810,66110819
手機:13564362870
結果
現場采樣
這些潮灘主要由粉砂/粘土沉積物組成(Viggato 2013),平均干容密度為 1.2 6 0.04 g/cm3,平均孔隙度為 0.72 6 0.02(n 93)。在我們的 7 月和 8 月采樣日期,平均沉積物溫度分別為 24.28、30.58 和 27.58C,沉積物含水量(SWC)在整個低潮期間保持飽和或接近飽和(表 1)。此外,氧氣滲透深度、孔隙水氧濃度和沉積物需氧量(SOD)在整個采樣期間保持相對恒定(表 1)。總體而言,沉積物 N2Ofluxes 范圍為—22 至 27 lmol.m—2.h—1,平均值為—6.7 6 2 lmol.m—2.h—1.In事實上,測量的 34 個核心中有 30 個表現出 N2O 吸收(表 1)。平均 N2Oflux 與沉積物暴露時間之間存在顯著關系(P = 0.0128;圖 1)。特別是,我們觀察到在最后一小時明顯更多的 N2O 吸收與第一小時相比低潮(P,0.05)。所有三個的平均 N2Ofluxes 之間沒有顯著關系 采樣日期和溫度或平均 SOD。然而,在三個單獨的采樣日期中的兩個,N2Ofluxes 和 SOD 確實表現出顯著的關系。特別是,在 7 月 31 日,這種關系為 y?—0.0008x—0.44(R2?0.35,P,0.05 ),并且在 8 月 8 日,關系轉變為 y?—0.009x—0.27(R2?0.58,P,0.05)。
營養添加
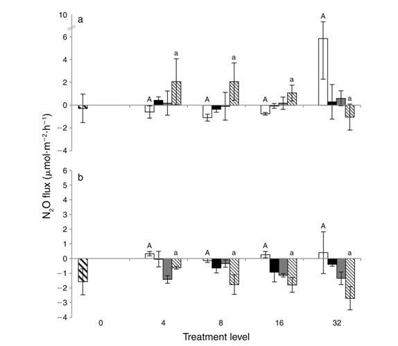
來自養分操作的 N2O 通量范圍為 -2.7 至 5.8 lmol.m-2.h-1,平均值為 -0.37 6 0.2 lmol.m-2.h-1。在我們的現場觀察中,我們觀察到 N2O 在實驗核心比釋放更頻繁(108 次總測量中的 72 次)。總的來說,營養添加核心產生的 N2O 通量的量級明顯小于我們在現場觀察到的 N2O 通量(P,0.01),SOD(P 0.01)也是如此。此外,我們觀察到,當巖心被處理水淹沒時,N2Ofluxs 顯著高于當巖心暴露在空氣中時(圖 2)。然而,在不同的處理中,只有硝酸鹽和 DIN 添加具有非常顯著的處理效果。銨加成核對N2Ofluxes沒有顯著的處理影響,通量范圍為—1.6~0.4 lmol.m—2.h—1(圖2)。硝酸鹽處理在N2Oflux和硝酸鹽濃度之間表現出拋物線關系,首先表現出 N2O 吸收,直到 323 處理,此時轉換為高 N2 速率 O釋放量(y=0.0003x2—0.036x—0.0075,R2=0.99,P=0.0056;表2)。DIN處理與N2Oflux與DIN濃度呈線性關系(y=0.001x—0.19,R=0.79,P=0.045 ;表 2)。
1. 海洋潮間帶的平均 N2O 通量與沉積物暴露于大氣的時間的最佳擬合線性回歸 (y 0.07x 1.4, R 0.52, P 0.0128) 美國馬薩諸塞州北岸的泥灘。 前四點(第一小時)明顯大于后四點(最后一小時;P = 0.034)。 顯示的是平均值 6 SE。
2. 當巖心被 (a) 淹沒和 (b) 暴露在空氣中時,來自營養實驗處理的 N2O 通量。 硝酸鹽(白條)、銨(黑條)、溶解無機氮(DIN;灰色條)和溶解無機氮加無機磷 (DIN DIP) 添加量(陰影條)的通量均在環境 (0) 下顯示為以及環境濃度的 4、8、16 和 32 倍。 大寫和小寫字母分別表示硝酸鹽和 DIN DIP 添加的 Tukey 測試結果。 對于所有處理,N2O 通量與處理水平沒有顯著差異( P< 0.05)。 所有通量都與相同的環境處理核心進行了比較(粗陰影),誤差線表示 6SE。 淹沒的通量顯著高于暴露的通量( P ? 0.0019)。
此外,DIN添加與N:P比呈顯著正相關(P=0.035;圖3a)。DINtDIP添加也與N:P呈正相關(圖3b;P=0.07)。 );然而,兩種處理對N:P的影響相反。雖然DIN處理中DIN濃度增加導致N:P增加,但DINtDIP處理中DIP濃度增加導致N:P降低,如箭頭所示(圖 3)。DINtDIP 處理效果在所有處理過的巖心中都很顯著(y=—0.083xt2.27,R2=0.97,P=0.013),但與對照相比,效果并不顯著(表 2)。最后,我們測量到巖心暴露在空氣中后沒有顯著的處理效果。
潮汐脈沖對于溫和潮間帶泥灘中一氧化二氮通量改變的研究——摘要、介紹
潮汐脈沖對于溫和潮間帶泥灘中一氧化二氮通量改變的研究——方法、數據分析
潮汐脈沖對于溫和潮間帶泥灘中一氧化二氮通量改變的研究——結果