熱線:021-66110810,66110819
手機:13564362870

熱線:021-66110810,66110819
手機:13564362870
太陽能光催化分解水的過程認為是將再生的太陽能轉化為清潔的化學能,從而實現太陽能的儲存。氫能是一種具有高燃燒值的高效和環境友好的能源,被認為是傳統化石燃料理想的替代產品,具有廣闊的發展空間。光電催化水解制氫是實現氫經濟效應最有前景的方式,光催化產氧是指在光的照射下利用特定的半導體光催化材料作為催化劑來分解水制備氫氣,是光反應與催化反應的結合,是在光與催化劑同時作用下進的化學反應。半導體光催化是指半導體材料在被合適能量的光源激發時,在其內部產生光生電子與光生空穴,并利用光生電子的還原性或光生空穴的氧化性來直接或者間接促進氫氣和氧氣的生成。本論文主要研究了一種使用氧化銅包覆的硅電極的光催化分解水的性能,探討電極表面材料的改變對于光催化分解水的性能的影響。
Unisense微電極系統的應用
應用了unisense的克拉克型氧氣微電極(OX-NP15121)測試光催化分解水產生的氧氣的濃度。氧氣電極的校準是采用了常規的二點法(飽和氮氣水、飽和空氣水)。應用氧微電極測試了光催化分解水體系中產生的氧氣濃度用于計算感應電流效率。
實驗結果
本論文構建了以硅光電極的光化學電池(PEC),首次使用了氧化銅包覆硅電極表面作為保護層并作為水氧化的催化劑。這類光化學電池設備在超低的電勢下(75mv)表現出高活性。這類材質組成的光化學電池在0.2M的硼酸緩沖溶液下持續工作10小時獲得的電流效率曲線仍然表現出很好的穩定性。相比于銅覆蓋的FTO電極、氧化銅覆蓋的FTO電極具備的起始電勢更小。
圖文講解
圖1、光電化學電池工作原理。這個電池包含表面覆蓋銅保護的硅光電極、以及相連的鉑對電極。當太陽光照射光電極的表面后,電極的表面產生了電荷分離,因光產生的空穴遷移到電極表面并將水轉換為氧氣,與此同時,產生的電子通過導電帶轉移到對電極上從而還原質子成氫氣。
圖2、光催化電極水設備中的氧化端電極材料的表面對于其光電轉換的效率影響。圖A表示的是材質為FTO(氟摻雜氧化錫)的氧化端電極覆蓋有不同厚度(5nm、10nm、15nm、20nm、25nm)的氧化銅/銅薄膜的電極時所獲得的Cv曲線。所有的CV曲線都使用了電池內阻補償,其電流的掃描速度為100mv/s。圖b表示的是可控電位電解法的電流密度痕跡隨時間的變化情況,電極氧化端采用了15nm氧化銅/銅薄膜/FTO覆蓋的電極。
圖3、活化前后Cu/二氧化硅/硅/鈦組成的光電極的光電轉換性能圖。其中的紅線表示的是電極未使用太陽光照射、藍線是電極使用了太陽光照射活化、黑色虛線表示的是電極在黑暗環境下做的對比試驗。CV曲線是使用鉑對電極和Hg/Hg2SO4參比電極在硼酸緩沖溶液內以100mv/s速度掃描獲得的。圖中的3D插圖表示的是電極端覆蓋的組成。
圖4、對比使用不同電極材料時以及不同起始電位對于水氧化變為氧氣的效率。其中的紅線表示的是FTO材質制備的電極材料在暗光環境下電解水產生的光電效率、綠線表示的是10nm厚的氧化銅/銅覆蓋FTO制備的電極,藍色虛線表示的是使用氧化銅/銅覆蓋FTO制備電級(電極表面為未進行光激活)的CV曲線。藍色實線表示的是使用氧化銅/銅覆蓋FTO制備電級(電極表面進行光激活)的CV曲線。
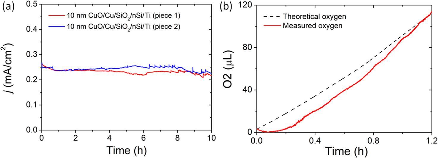
圖5、活化后的10nm厚CuO/Cu/SiO2/nSi/Ti光電極的穩定性以及感應電流的效率。圖a表示的是當下電流密度與時間的關系,兩條曲線表示的是同一條件下做的平行實驗。從圖中可以看出該電極端具備很好的電還原性能。圖b表示的是光電極端所析氧的量隨時間的變化情況。其中紅色的曲線是使用氧微電極測試到的氧氣的量,黑色虛線表示的是采用理論計算獲得的氧氣生產量,從曲線可看出,理論計算和實際測試獲取的曲線大致相仿,出現部分偏差的原因可能是因為使用氧氣微電極測試時,體系中產生的氧氣通過微電極的表面薄膜是通過緩慢擴散進入,從而引起一些差異。
總結
利用太陽能光催化分解水制氫的研究主要集中于光電化學法與光催化法兩個方面,而半導體光催化分解水制氫技術主要是利用一些半導體材料作為催化劑,將太陽能通過光化學反應轉換為氫能。這種方法既經濟又實用,而且不會造成環境污染,被認為是光化學轉換與儲存太陽能的最佳途徑,屬于當前太陽能制氫領域的前沿與熱點之一。光催化分解水產氧的創新之處在于利用儲量豐富的太陽能,通過光化學反應將其轉換為氫氣的化學能。半導體光催化技術的出現為有效利用太陽能提供了一個潛力巨大的發展方向。
這篇論文主要探討了應用光催化分解水光化學電池的制氫的性能,探討了對于光化學電池的電極材料表面改性對于其催化產氫的能力影響,應用了Unisense氧氣微電極測試了光催化過程中產生的氧氣并用于計算光化學電池的感應電流效率,相比于常規的氣相色譜檢測氧氣的方法,使用微電極系統測試光催化分解水產生的氧氣的方法大大方便了對于氧氣的在線監測,更容易判斷光催化分解水的催化效率,這也說明微電極能夠在線測試光解水體系產生的氧氣和氫氣濃度,從而在光催化分解水領域存在著非常大的應用前景。
相關新聞