熱線:021-66110810,66110819
手機:13564362870

熱線:021-66110810,66110819
手機:13564362870
3.1水和土壤特性
表1列出了水和土壤的物理和化學性質。根據現場調查,小興凱湖水體溶解氧濃度低,pH值偏堿性,受人為干擾,研究區水體的溶解氧濃度較高。與水不同,小興凱湖的土壤呈弱酸性,這可能是由微生物作用造成的。小興凱湖土壤中有機碳、總磷和全氟含量的平均值為38.41±5.43 kg?1444.60±38.97毫克/千克?1和11.80±0.52克/千克?分別為1。
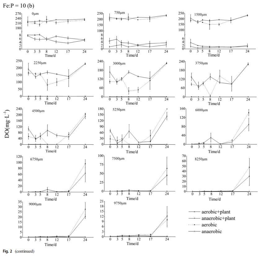
3.2不同鐵磷比下土壤元素的積累特征DO濃度分為三類:0-1500、2250-5250和≥6000,不考慮Fe/P(圖2a,b)。當深度小于1500μm時,所有四種處理的DO濃度都是穩定的。由于氧氣的引入,有氧組保持較高的DO濃度,其他兩組在4 mg L左右波動?1因為氮氣的引入。在2250和5250μm之間的深度,溶解氧濃度隨波動而增加。深度大于6000μm時,溶解氧濃度達到極限值(0.3 mg L?1),但在有氧條件下第12天后增加,表明深層土壤中的DO濃度降低,但隨著時間的推移迅速增加。土壤Eh值在兩種不同的鐵磷比之間差異很大。鐵磷比為5時,不同處理的土壤Eh值不同(圖2c)。好氧+植物處理的土壤Eh值向上波動,而厭氧+植物處理的土壤Eh值降至最低(第5天),然后緩慢上升,而對照處理的土壤Eh值則波動并下降。在鐵磷比為10的情況下,土壤Eh值通常先降低后升高(圖2d)。
圖2兩種鐵磷比下四種處理(好氧+植物、厭氧+植物、好氧和厭氧)不同土層的溶解氧(DO)濃度(a、b)和氧化還原電位(Eh)值(c、d)隨時間的變化
環境因子(DO和Eh)的變化影響土壤元素的積累。土壤磷形態的含量見表2和表3。小興凱湖濕地土壤有機磷和有機磷含量分別占總磷含量的50%左右。不同IP組分的減少順序為Fe-P>Al-P>Oc-P>Ca-P>Ex-P。不同處理之間的Fe-P、Ex-P或Al-P含量存在顯著差異,但Oc-P、Ca-P和DRP沒有顯著差異(表2和表3)。此外,我們還發現,在四種處理中,有氧條件下的磷形態含量最高。
鐵是濕地土壤化學形態轉化的主要元素之一。在培養期間,在土壤中觀察到TFe和鐵氧化物(Feo和Fed)(圖3)。好氧處理的土壤TFe、Feo和飼料含量顯著高于其他三個處理(圖3)。根據多變量方差分析,各處理間TFe含量存在顯著差異(F=5.827,p=0.021),但Feo含量無顯著差異(F=1.419,p=0.307)。觀察到的美聯儲變化更為復雜。在鐵磷比為5的情況下,在好氧+植物處理(P=0.047)、厭氧+植物處理(P=0.015)和厭氧處理(P=0.025)中觀察到顯著差異;然而,在鐵磷比為10時,沒有顯著差異(P>0.05)。
土壤有機碳隨著其他元素之間的相互作用而變化。如圖4所示,無論鐵磷比如何(F=34.035,P<0.0001;F=8.089,P=0.008),四種處理的土壤有機碳含量顯著不同。在鐵磷比為5的條件下,土壤有機碳的平均含量按以下順序降低:需氧(85.01g/kg)?1)>好氧+植物(31.28 g kg?1)>厭氧(29.13克/千克?1)>厭氧+工廠(24.10 g kg?1).在鐵磷比為10的條件下,土壤有機碳的平均含量按以下順序降低:好氧(54.82g/kg)?1)>厭氧(44.88克/千克?1)>厭氧+工廠(26.82 g kg?1)>好氧+植物(21.87 g kg?1).
表2鐵磷比為5時四種處理的不同磷形態。數值表示為平均值±標準誤差。同一列中具有相同小寫字母的平均數在p<0.05時顯著不同(反之亦然)
3.3不同鐵磷比下鐵、磷和碳元素的相關性分析
對不同鐵磷比下的TFe、Feo、Fed、P形態和SOC進行了相關分析(表4)。鐵磷比為5時,Feo、鐵活性(Feo/Fed)和SOC之間存在顯著相關性(p<0.05),但在鐵磷比為10時,Feo/Fed和SOC之間沒有相關性。因此,有機碳(即有機質)的增加會促進Feo的增加,但不一定會增強土壤的氧化鐵活性。
表4不同鐵磷比下總磷(TP)、無機磷(IP)、溶解活性磷(DRP)、全鐵(TFe)、無定形鐵(Feo)、游離鐵(Fed)、氧化鐵活化度(Feo/Fed)與土壤有機碳(SOC)的相關性
鐵磷比為10時,磷形態與土壤有機碳之間的相關性比鐵磷比為5時更顯著(表5)。無論鐵磷比如何,TP、IP和SOC之間都存在顯著相關性(P<0.01)。當Fe/P比為10時,土壤有機碳與Fe/Al-P顯著相關(r=0.778,r=0.919;P<0.01),但與其他IP形式無關,間接表明IP主要由Fe/Al-P組成。IP、Or-P和TP之間存在顯著相關性,表明IP和Or-P對土壤TP的貢獻相同。
表5不同鐵磷比下磷形態與土壤有機碳的相關性

好氧和厭氧處理中的DO濃度隨時間顯著變化(圖2a,b)。此外,人工曝氣確保了氧化繼續通過水-土界面,這一過程不會在深層土壤中自然發生。因此,由于曝氣裝置(圖2c,d)的運行而增加的Eh刺激的磷沉淀可以增強曝氣的預期效果。重要的是要認識到,鐵磷在好氧和厭氧處理之間存在顯著差異(表2和表3),表明磷的釋放受到曝氣的抑制。磷吸附到鐵絡合物的過程會導致從水柱中大量去除磷(Gunnars等人,2002年),并且對氧化還原變化敏感。土壤表面氧化還原敏感鐵磷的數量、磷的釋放及其與鐵的共沉淀均受人工曝氣的控制。當引入O2時,磷酸鐵沉淀;否則,在氧氣不足的情況下會釋放磷。因此,使用鐵來滅活磷需要連續完全混合或曝氣(Cooke 1993;Jaeger 1994)。人工鐵輸入改變了湖泊的鐵儲量,在很大程度上決定了磷的流動性。在土壤表面,鐵磷比越高,磷釋放率越低(Jensen et al.1992)。最近,Zou et al.(2018)還發現,與厭氧處理相比,好氧處理對TP的去除率最高,尤其是在較高的鐵磷比下,這表明在好氧條件下引入的鐵抑制了土壤TP的釋放,從而降低了水TP。因此,添加鐵會影響沉積物中P的埋藏,從而對湖泊的營養狀態產生強烈影響,尤其是在DO濃度較高的情況下。
表3鐵磷比為10時四種處理的不同磷形態。數值表示為平均值±標準誤差。同一列中具有相同小寫字母的平均數在p<0.05時顯著不同(反之亦然)
我們發現,小興凱湖土壤中都存在IP和Or-P,每一種都占總磷的50%左右。這一結果與俞(2014)關于小興凱湖沉積物磷釋放的結果一致。Rydin(2000)報道,除了Oc-P、Ca-P和40%OrP之外,土壤P可被微生物利用,并形成生物有效P。因此,Ex-P、Al/Fe-P和60%Or-P的總和被估計為總生物有效P。在我們的研究中,生物活性P約占TP含量的65.97%,這表明,如果水生干擾和環境因素影響磷循環,小興凱湖沉積物很可能成為磷源,導致富營養化。
TFe向土壤表面的顯著增加(圖3)歸因于氧化還原,在沒有O2的情況下,Fe2+還原溶解和擴散到上覆水中,以及在O2存在的情況下連續氧化為Fe3+(Zhang et al.2017)。然而,在人工曝氣期間,兩種鐵磷比的TFe沒有顯著差異(F=1.505,P=0.233)。在遷移過程中,觀察到了總鐵質量的變化和鐵化學形態的轉變。我們發現,在鐵磷比為5(F=3.980,P=0.047)的處理中,飼喂量存在顯著差異,而在鐵磷比為10(圖3)的處理中沒有差異。相比之下,在兩個鐵磷比中,不同處理之間的鐵氧比沒有顯著差異。
土壤鐵氧化物的轉化是控制磷有效性的一個重要機制,尤其是Feo的影響(Su等人,2001年;Gao等人,2002年)。在Fe/P比為10時,溶解活性磷(DRP)與Feo呈強相關(r=0.608,P<0.05;表4),表明隨著Feo的增加,DRP逐漸增加,從而提高了土壤有效磷含量。這種情況與鈣質土壤不一致(Zhu等人,1993年),但支持旱地土壤的研究結果(Wang等人,2008a)。此外,土壤物質組成也會影響土壤P的行為。傳聞證據表明,溶解活性磷與TP不完全相關,但與土壤有機質呈正相關或負相關(Jia和Li,2011;Liu等人,2012)。在該研究中,我們發現DRP和TP之間沒有顯著相關性,DRP和SOC之間的正相關性僅出現在鐵磷比為10時(表4),這可能與鐵輸入濃度對耦合元素循環的影響有關。
圖3兩種鐵磷比下四種處理(好氧+植物、厭氧+植物、好氧和厭氧)的總鐵(TFe)、無定形鐵(Feo)和游離鐵(Fed)含量
兩種鐵磷比之間的SOC沒有顯著差異(圖4)。然而,四種處理的SOC顯著不同(對于5的鐵磷比,F=34.036,p<0.001;對于10的鐵磷比,F=8.089,p=0.008)。我們注意到,在好氧處理中,SOC含量最高。在好氧條件下,鐵氧化物可能會強烈吸附SOC,并通過共沉淀形成絡合物,以穩定有機碳(Mikutta等人,2006年;Lalonde等人,2012年)。我們觀察到的Feo含量與SOC之間的正相關關系(表4)表明,隨著Feo含量的大幅增加,SOC含量實際上可能會增加。在濕地土壤中,Feo和有機C之間的相互作用可能是有機C穩定的最重要機制(Kleber等人,2005年;Lalonde等人,2012年)。有趣的是,SOC和鐵活度(Feo/Fed)之間的相關性因鐵磷比不同而不同。我們發現,土壤有機碳與Feo、Fe活性呈正相關(對于Fe/P比為5的土壤,r=0.882;對于Fe/P比為10的土壤,r=0.756;P<0.01),表明增加有機碳(即有機質)的輸入可以增加土壤中Feo的含量,提高鐵氧化物的活性。然而,在鐵磷比為10時,沒有發現這種關系。因此,增加有機碳輸入并不一定會提高濕地土壤中的鐵活性。

圖4兩種鐵磷比下四種處理(好氧+植物、厭氧+植物、好氧和厭氧)的土壤有機碳含量
模擬不同Fe/P比的人工曝氣對DO、Eh的垂直變化以及C和P的轉化的影響,我們的研究結果表明,DO濃度在水-土界面分層,隨土壤深度降低,隨時間迅速增加。在有氧條件下,Eh值通常隨波動而增加。小興凱湖土壤表層的磷形態由半磷和磷組成,其中鐵磷比例最高,與較高的內部磷負荷有關。在好氧條件下,總鐵質量和SOC比厭氧條件下增加更多,且不受鐵磷比的影響。Feo的增加可能是通氣處理后SOC增加的原因之一。然而,鐵活性和SOC之間的相關性受到鐵輸入的影響。我們認為,施加的Fe輸入強度必須考慮Fe與有機C的相關性,并且應施加過量的Fe,以提供一個大的反應FE-P池和連續補充Fe以有效地結合土壤P。需要進行大規模的控制實驗,以充分了解濕地中土壤元素的行為,包括潛在的富營養化風險和碳固存,這在淡水濕地生態系統中的重要性越來越明顯。
中國國家自然科學基金(2016YFC0500 408)、國家自然科學基金(41271107,41471079)、中國農業科學院東北地理與農業生態研究所(IGA-135-05)資助了該研究。