熱線:021-66110810,66110819
手機:13564362870

熱線:021-66110810,66110819
手機:13564362870
漿果中的氧氣濃度分布
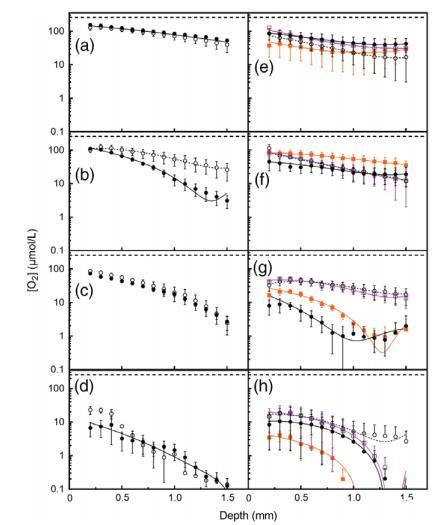
圖4、第1季(S1)(a-d)和第2季(S2)(e-h)在常溫灌溉(A+I)(白圈)和常溫非灌溉(A+NI)(黑圈)、升溫灌溉(H+I)(白方塊)、升溫非灌溉(H+NI)(橙方塊)處理下,從果皮下0.2毫米到漿果中心1.5毫米的氧氣濃度曲線(對數刻度)。S1和S2的取樣時間不同。
圖4顯示了第1季和第2季不同采樣日期漿果中氧氣濃度([O2])與深度的函數關系。無論水系和采樣時間如何,[O2]都隨著進入漿果深度的增加而急劇下降(圖4中的對數刻度)。在第1季中,從成熟期(63 DAA)到采收前(106 DAA)對漿果進行了四次采樣(圖4a-d),結果顯示[O2]隨著漿果成熟度的增加而減少。I漿果為22.90±6.25μmol/L,NI漿果為6.71+3.13μmol/L(圖4d)。只有在77 DAA時[O2]才會發現處理間的差異,NI漿果在1.5 mm深處的[O2]降至3.10+1.28μmol/L,而I漿果在1.5 mm深處的[O2]為25.93+14.09μmol/L(圖4b)。在106 DAA時,I和NI漿果在1.5 mm處都嚴重缺氧(圖4d)。對曲線進行擬合發現,水分脅迫對[O2]曲線演變的影響,在77和91 DAA時,I果實中的[O2]平均高于NI果實中的[O2]。
在第2季中,隨著漿果深度和漿果成熟度的增加,[O2]曲線也出現了類似的模式(圖4e-h)。與第1季不同的是,常溫灌溉(A+I)漿果在最后采樣日期(112 DAA)1.5 mm時并未出現嚴重缺氧,但所有其他處理在1.0至1.5 mm之間的[O2]都極低(圖4h)。在105 DAA時,A+I和H+I處理的漿果(圖4g)的[O2]明顯高于NI處理(<0.0001)。在112 DAA時,與其他處理相比,H+NI漿果的[O2]較低(圖4h)。
CD與[O2]之間的關系
圖5、漿果表面0.2至1.5毫米深處漿果活體組織對平均[O2]的依賴性。
漿果活體組織與平均[O2](0.2-1.5毫米)之間的關系如圖5所示。在第1季中,無論水分多少,漿果活體組織和氧氣存在相同的聯系(圖5a)。在相同的氧氣濃度下,第2季漿果的活體組織比例高于第1季(圖5b中的實線與虛線)。A+I、A+NI和H+I漿果的活組織比例與[O2]之間存在類似的聯系(R2=0.66),但H+NI需要對數據進行不同的擬合(圖5b)。
漿果呼吸
圖6、第一季(a,b)和第二季(c,d)設拉子漿果在25℃下的呼吸速率與開花后天數(DAA)、每顆漿果(a,c)或每克漿果鮮重(b,d)的函數關系。第1季有兩種處理:A+I(黑)和A+NI(灰)。雙向重復方差分析:(a)處理、時間和交互作用顯著;(b)處理和時間顯著;A+NI與A+I顯著不同。(c,d)、對于第2季,呼吸作用隨時間的推移而顯著降低。(c)灌溉處理(A+I)(白圈)、(H+I)(黑圈)每個漿果的呼吸速率明顯高于非灌溉處理(A+NI)(白方塊)、(H+NI)(橙方塊)。對于(d),各處理的線性回歸線之間沒有顯著差異。
在成熟過程中,漿果的呼吸作用(25℃下的氧氣吸收量)在單個漿果和鮮重的基礎上都有所下降(圖6)。第1季和第2季每個漿果的呼吸速率在不同處理之間存在差異(圖6a,c)。
在第2季中,與NI葡萄藤相比,無論熱處理方式如何,I葡萄藤漿果的單個漿果呼吸速率都更高。按漿果鮮重計算,第1季中只有I和NI在84 DAA時的呼吸速率存在差異,但第2季中所有處理之間均無差異(圖6d)。
漿果乙醇濃度
圖7、乙醇濃度隨開花后天數的變化。
漿果乙醇濃度在第一季成熟期測量了三次,在第二季測量了四次(圖7)。在這兩個季節中,乙醇都有明顯的隨時間增加的趨勢。在第1季中,NI型葡萄樹的漿果比I型葡萄樹的漿果增加得更多。這在第2季中并不明顯。兩季漿果中乙醇的總體濃度相似。
x線顯微CT顯示的漿果孔隙度和相對體積
漿果內部總氣孔的三維模型(圖8a-d)顯示,TSS較低的漿果子房體積比例較小(圖8a),果皮中的小氣孔比例較大(圖8c)。與成熟初期相比,小尺寸氣孔在成熟后期逐漸減少,而子房氣孔則更占優勢(圖8b,d)。果座到果梗有連續的氣孔連接。漿果孔隙度測定法測得的漿果總孔隙率隨著成熟成熟度的增加而下降(圖8e)。與其他測得的性狀相反,水分狀況對孔隙率沒有影響(圖8e)。對于相同的TSS,加熱會降低孔隙率,尤其是在成熟早期,與水狀況無關(圖8e中的虛線)。
通過X射線顯微CT測量了A+I和A+NI葡萄的子房相對體積。與總孔隙率相反,子房室體積隨著TSS的增加而增大。不同水分條件下,子房室體積與TSS的函數關系相似(紅色實線,圖8e)。液泡體積和孔隙度曲線在TSS約為25-27Brix時相交。
總結
無論生長條件如何,漿果內部[O2]隨著設拉子漿果組織深度和漿果成熟度的增加而減少。在不同的生長條件下,漿果成熟過程中CD的進展與漿果內部[O2]的平均值相關。水分脅迫降低了設拉子漿果的內部[O2],增加了乙醇積累和CD。在我們的實驗條件下,溫度升高不會影響漿果的[O2]和CD。在所有處理中,漿果在整個生長過程中的孔隙率都在下降。在成熟后期,子房室空氣空間的相對體積變大,這可能是漿果干癟的一個指標。加熱漿果的質量增加導致孔隙率低于較小尺寸的對照果,這可能是由于漿果內的空氣體積相似,而與處理方法無關。漿果內部[O2]的減少與孔隙度和活體組織比例的降低有關。細胞死亡以及漿果干癟與氧氣供需密切相關。任何可能影響氧化過程、漿果呼吸或漿果解剖結構的生物或非生物脅迫都可能會對CD產生影響,并對釀酒相關的漿果性狀產生影響。
相關新聞