熱線:021-66110810,66110819
手機:13564362870

熱線:021-66110810,66110819
手機:13564362870
The Roles of Biofilm Conductivity and Donor Substrate Kinetics in a Mixed-Culture Biofilm Anode
混合培養生物膜陽極中生物膜電導率和供體底物動力學的研究
來源:Environ. Sci. Technol. 2016, 50, 12799?1280
一、摘要概述
論文摘要指出,本研究通過實驗評估了混合培養生物膜陽極中從供體底物(乙酸)到陽極的電子轉移(ET)動力學和熱力學。研究采用了一個修改的生物膜傳導模型,該模型將電子轉移分為三個串聯步驟:(1)細胞內電子轉移(IET),(2)從外膜蛋白到胞外輔因子(EC)的非歐姆細胞外電子轉移(EET),以及(3)通過生物膜基質中的歐姆傳導從EC到陽極的電子轉移。在微型微生物電化學細胞(MxC)中,固定陽極電位為-0.15 V(相對于標準氫電極)時,穩態電流密度為0.82±0.03 A/m2。通過Illumina 16S rDNA和rRNA測序發現,生物膜陽極中Geobacter屬的占比低于30%。生物膜導電性高達2.44±0.42 mS/cm,表明如果僅歐姆傳導EET受限,最大電流密度可達270 A/m2。歐姆傳導EET的能量損失可忽略不計(0.085 mV),第二步電子轉移的能量損失也較小(20 mV),而EC的電位為-0.15 V,表明超過99%的EC處于氧化狀態。乙酸利用的Monod動力學相對較慢,至少87%的能量損失發生在細胞內步驟。因此,對于高導電性生物膜,細胞內電子轉移是電子從供體底物到陽極轉移的主要動力學和熱力學瓶頸。
二、研究目的
本研究旨在定量評估混合培養生物膜陽極中電子轉移的速率限制步驟,特別是在高導電性生物膜背景下。通過結合實驗測量和模型分析,識別電子轉移過程中的動力學和熱力學瓶頸(如生物膜導電性、底物利用動力學等),以優化微生物電化學細胞(MxC)的性能。研究重點在于驗證修改的Nernst-Monod模型(包括三個電子轉移步驟)的適用性,并闡明生物膜導電性與底物動力學之間的相互作用。
三、研究思路
研究采用微型雙室微生物電化學細胞(MxC)作為實驗平臺,陽極由兩個金電極構成,陰極為石墨板,使用陽離子交換膜分離。操作步驟如下:
MxC設計與操作:設計微型MxC(工作體積256 μL),固定陽極電位為-0.15 V,以乙酸為底物,在非底物限制條件下運行。
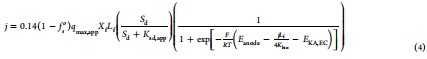
電子轉移模型:提出一個三步驟電子轉移模型(圖1a),包括IET、非歐姆EET(從外膜蛋白到EC)和歐姆傳導EET(從EC到陽極)。模型基于修改的Nernst-Monod方程(方程4),納入了生物膜導電性(K_bio)的影響。


參數測量:在穩態下,測量生物膜導電性、厚度、微生物群落結構、循環伏安曲線(CV)和Monod動力學參數。
數據分析:使用模型擬合實驗數據,計算各步驟的能量損失和動力學參數,識別瓶頸步驟。
研究思路強調通過多學科方法(電化學、微生物學、模型模擬)全面解析電子轉移過程。
四、測量數據及研究意義
以下列出關鍵測量數據,注明來源(圖或表),并解釋其研究意義。數據來自文檔中的文本描述、表1、表2和圖2,避免使用表格形式,而是以描述性列表呈現。
穩態電流密度(來自文本描述)
數據:穩態電流密度為0.82±0.03 A/m2。
研究意義:該電流密度相對較低,為后續分析電子轉移瓶頸提供基線。結合模型,表明電流輸出受IET限制而非EET。
生物膜厚度(L_f)使用丹麥Unisense電極測量(來自文本描述)
數據:生物膜厚度平均為100 μm(通過Unisense微電極系統測量,重復測量值為85 μm和115 μm)。
研究意義:L_f是計算Monod動力學參數和能量損失的關鍵變量。準確測量厚度確保了模型參數的可靠性,并為計算歐姆傳導能量損失提供基礎。這部分將在第六部分詳細解讀。
生物膜導電性(K_bio)來自表2

數據:K_bio為2.44±0.42 mS/cm(通過兩探針法測量,生物膜電導為0.63±0.11 mS,控制電導為0.37±0.00 mS)。
研究意義:高K_bio證實生物膜具有優良的導電性,支持歐姆傳導機制。計算顯示EET步驟的能量損失極小(0.085 mV),表明EET不是電流限制因素。
微生物群落結構來自表1

數據:基于16S rDNA和rRNA測序,Geobacter屬在DNA庫中占27%,在RNA庫中占21%;其他優勢菌包括Rhodopseudomonas屬(RNA庫16%)、Rhodocyclaceae科(接近Azoarcus和Thauera屬,RNA庫28%)等。
研究意義:群落多樣性(Geobacter占比低)解釋了較慢的Monod動力學,表明ARB種群結構直接影響IET效率。高導電性盡管存在,但底物利用動力學成為瓶頸。
循環伏安曲線(CV)和半飽和EC電位(E_KA,EC)來自圖2

數據:CV曲線呈S形,E_KA,EC為-0.28±0.00 V。
研究意義:E_KA,EC值較負表明電流密度在低陽極電位下飽和,有利于能量回收。CV與模型擬合良好(圖2),驗證了修改的Nernst-Monod方程的準確性,并支持EC以氧化態為主(>99%)。
Monod動力學參數來自文本描述
數據:表觀半飽和濃度(K_s,app)為274 g COD/m3,最大比底物利用率乘以活性生物膜密度(q_max,app X_f)為92×103 g COD/m3-d。
研究意義:K_s,app較高且q_max,app X_f較低,表明底物利用動力學緩慢,這與Geobacter占比低一致。這些參數直接關聯IET步驟的能量損失(占總體87%),突出了IET的核心瓶頸作用。
五、結論
本研究得出以下結論:
細胞內電子轉移(IET)是主要瓶頸:盡管生物膜導電性高(K_bio=2.44 mS/cm),但IET步驟的能量損失占總能量損失的87%,且Monod動力學參數(如q_max,app X_f)較低,導致電流密度受限。EET步驟的能量損失可忽略(0.085 mV),表明歐姆傳導效率高。
模型驗證:修改的Nernst-Monod模型成功描述了電子轉移過程,CV數據擬合良好,證實了EC以氧化態為主(>99%),且非歐姆步驟(第二步)能量損失小(20 mV)。
應用意義:對于高導電性生物膜,優化MxC性能的關鍵在于提升IET動力學,如通過富集高效ARB(如Geobacter)或增加生物膜密度(X_f)。生物膜導電性本身不是限制因素,但需與底物動力學協同優化。
這些結論為設計高效微生物電化學系統提供了理論指導,強調需平衡生物膜導電性和微生物代謝活性。
六、詳細解讀使用丹麥Unisense電極測量數據的研究意義
丹麥Unisense電極在本研究中用于精確測量生物膜厚度(L_f),其研究意義至關重要:
測量原理:Unisense微電極系統(型號MM33)連接電機驅動微操縱器,使用不銹鋼導電微電極(針尖直徑100 μm)步進移動(步長5 μm)向生物膜表面接近。通過監測電阻變化(從開路狀態到接觸生物膜外層時電阻降至MΩ級,接觸陽極表面時降至<1 Ω)確定L_f。測量過程中,為避免脫水,在生物膜表面滴加底物培養基,并在20分鐘內完成以減少氧氣影響。
研究意義:
數據準確性保障:Unisense電極提供高空間分辨率(微米級),能準確量化L_f(如平均100 μm)。這些數據是計算Monod動力學參數(如q_max,app X_f)和能量損失的基礎,確保了模型的可靠性。例如,L_f用于計算歐姆傳導能量損失(ΔE_EET = j L_f / 4 K_bio),結果為0.085 mV,證實EET步驟非限制性。
支持動力學分析:L_f測量直接用于修改的Nernst-Monod方程(方程4),幫助區分IET和EET的貢獻。穩定且均勻的L_f(重復測量偏差小)表明生物膜結構完整,從而突出IET動力學下降的主導作用,而非物理厚度變化。
技術優勢:Unisense電極的非破壞性測量最小化了對生物膜的干擾,電流密度在測量后能迅速恢復穩態,體現了該方法在活體生物膜研究中的適用性。這為未來MxC研究提供了可靠的厚度監測標準,特別是在微型系統中。
總之,Unisense電極數據不僅驗證了生物膜的物理特性,還強化了結論的嚴謹性——即電流限制主要源于IET動力學而非生物膜結構或EET。該測量方法為定量分析電子轉移瓶頸提供了關鍵技術支持。