熱線:021-66110810,66110819
手機:13564362870

熱線:021-66110810,66110819
手機:13564362870
Sedimentary organic matter contents and porewater chemistry at upper bathyal depths influenced by the 2011 off the Pacific coast of Tohoku Earthquake and tsunami
受2011年日本東北部太平洋沿岸地震海嘯影響,深海沉積物上層有機質含量及孔隙水化學特征
來源:J Oceanogr (2016) 72:99–111
論文總結
一、摘要概述
本論文研究了2011年日本東北地震和海嘯后,太平洋沿岸上深海(upper bathyal)沉積物中有機質含量和孔隙水化學的變化。摘要指出,地震一年后(2012年3月),在東北部8個上深海站點采集沉積物巖心,發現所有站點均存在1-7厘米厚的事件沉積(如濁積巖),表明該區域受到地震或海嘯引起的沉積事件影響。事件沉積中總有機碳(TOC)和總氮(TN)濃度較低,且碳氮同位素組成和C/N比顯示事件沉積由局部短距離搬運的沉積物組成。營養鹽通量與表層TOC和底層水溶解氧(DO)濃度相關,但事件沉積厚度與氧或營養鹽通量無顯著相關性。事件沉積的有機質含量與下伏沉積物相似,因此對營養鹽通量無顯著影響。結果表明,擾動區生物地球化學循環不僅受事件沉積厚度影響,還取決于沉積物來源。
二、研究目的
本研究的主要目的包括:
評估地震擾動的影響:探究2011年東北地震和海嘯引發的事件沉積(如濁積巖)如何改變上深海沉積物的有機質分布和孔隙水地球化學。
揭示生物地球化學響應:分析事件沉積對營養鹽通量(如NO??、NH??)和溶解氧動態的影響,理解擾動后沉積物-水界面的元素循環。
比較局部與遠程沉積物來源:通過同位素和粒度數據,判斷事件沉積是有機質富集的遠程搬運物質,還是有機質相似的局部沉積物,以預測其對生態系統恢復的影響。
三、研究思路
研究采用多站點對比與高分辨率采樣的系統方法:
站點選擇與采樣:基于地震前調查,在東北沿岸設置3個斷面(N、M、S線),涵蓋310-880米水深的8個站點(Table 1)。2012年3月使用多管采樣器采集沉積物巖心,確保樣品代表擾動后狀態。

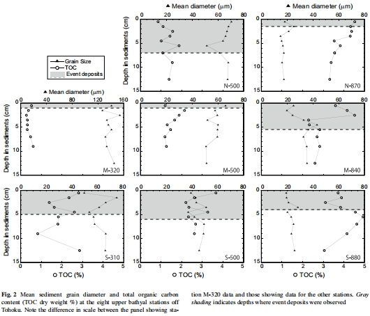
事件沉積識別:通過沉積結構、21?Pb、13?Cs和13?Cs剖面識別事件沉積層(如濁積巖),厚度1-7厘米(Fig. 2)。

地球化學分析:
有機質參數:測量TOC、TN濃度、δ13C和δ1?N同位素(Table 2),計算C/N比,評估有機質來源和降解狀態。


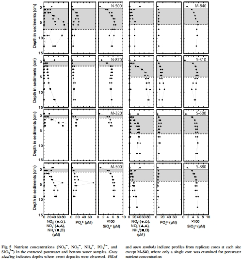
孔隙水化學:提取孔隙水,分析營養鹽(NO??、NH??、PO?3?、SiO?2?)濃度(Fig. 5);使用丹麥Unisense氧微電極以200 μm分辨率測量沉積物-水界面的溶解氧(DO)剖面(Fig. 4)。

通量計算:基于Fick定律計算營養鹽和氧擴散通量(Fig. 6),考慮孔隙度和溫度校正。

數據關聯分析:使用統計方法(如相關性分析)關聯事件沉積厚度、TOC、DO和營養鹽通量(Table 3),檢驗擾動的影響。

四、測量數據及研究意義(注明來源)
本研究測量了多類數據,其來源和研究意義如下:
事件沉積厚度與粒度(來自Fig. 2和沉積學分析):
數據:Fig. 2顯示事件沉積厚度1-7厘米,粒度較粗(如站點M-320平均粒徑大)。TOC在事件沉積層較低(如M-320站<1%)。
研究意義:這些數據直接證實地震引起廣泛沉積擾動。粗粒事件沉積表明高能搬運過程,但低TOC暗示有機質在搬運中損失或稀釋,突出了事件沉積的物理特性而非化學組成的主導作用。
有機質組成與同位素(來自Table 2和Supplementary Figs):
數據:Table 2列出各站點TOC(0.5-5.0%)、TN(0.05-0.6%)、C/N比(7.4-8.2)、δ13C(-22.2‰至-19.2‰)和δ1?N(4.7-5.9‰)。C/N比接近海洋浮游植物值(~6),δ13C與海洋有機質一致。
研究意義:同位素和C/N比指示有機質主要為海洋來源,非陸源輸入。事件沉積與下伏沉積物相似性說明局部搬運,解釋了為何擾動未顯著改變營養鹽循環。這強調了來源一致性在生態系統恢復中的重要性。
溶解氧剖面(來自Fig. 4,由丹麥Unisense微電極測量):
數據:Fig. 4顯示DO在沉積物表層快速消耗,氧滲透深度(OPD)10-20毫米,淺水站點OPD更深(如M-320站20毫米)。底層水DO隨深度增加而降低(Fig. 1)。

研究意義:高分辨率DO剖面量化了氧化還原梯度,OPD與TOC負相關,證實有機質降解耗氧。淺水站點高OPD反映較低礦化率,為理解擾動后氧化條件恢復提供基準。
營養鹽濃度與通量(來自Fig. 5和Fig. 6):

數據:Fig. 5顯示孔隙水NO??隨深度消耗,NH??和PO?3?積累;Fig. 6計算通量,如NO??通量在深水站點較高。
研究意義:營養鹽剖面反映有機質礦化路徑(如反硝化、銨化)。通量與表層TOC和底層水DO相關(Table 3),但與事件沉積厚度無關,表明早期成巖過程由背景環境控制,而非擾動強度。這挑戰了事件沉積厚度主導生物地球化學的傳統觀點。
相關性分析(來自Table 3):
數據:Table 3顯示事件沉積厚度與通量無顯著相關;TOC與NO??通量正相關(r=0.875),與NH??通量負相關;底層水DO與NO??通量負相關。
研究意義:相關性突出TOC和DO為關鍵驅動因子,而非事件沉積本身。這為預測擾動后營養鹽動態提供了簡化模型,強調有機質負荷和氧化條件的核心作用。
五、研究結論
本研究主要結論如下:
事件沉積的局部性:事件沉積由局部海洋沉積物短距離搬運形成,有機質來源與下伏沉積物相似,因此未引入新碳源,對營養鹽通量影響有限。
通量控制因素:營養鹽和氧通量主要受表層TOC和底層水DO控制,事件沉積厚度不是顯著影響因素,表明生物地球化學循環在擾動后一年內已趨于穩定。
生態啟示:在頻繁擾動區,沉積物來源一致性可能促進生態系統快速恢復,而遠程富有機質輸入可能延長影響。研究強調了局部環境背景在評估地震擾動效應中的重要性。
六、丹麥Unisense電極測量數據的詳細研究意義
本研究中使用丹麥Unisense氧微電極獲得的數據具有關鍵研究意義,體現在以下方面:
高分辨率氧化還原梯度量化:Unisense微電極以200 μm的垂直分辨率實時測量沉積物-水界面的DO濃度剖面(Fig. 4)。這種高空間分辨率精確揭示了氧滲透深度(OPD)的毫米級變化,例如顯示OPD在淺水站點(如M-320)達20毫米,深水站點(如S-880)僅10毫米。這些數據直接驗證了有機質礦化對氧消耗的控制,OPD與TOC的負相關(r=-0.678)為理解氧化層厚度提供了實證基礎。
關聯物理擾動與生物響應:DO剖面顯示事件沉積層(如粗粒濁積巖)中氧消耗速率變化,將沉積物結構與微生物活動鏈接。例如,在站點M-840,濁積巖層對應低TOC和較高OPD,表明事件沉積可能通過改變孔隙結構影響氧擴散路徑,進而調節好氧/厭氧過程平衡。
支持通量計算與模型驗證:基于微電極數據計算的氧擴散通量(Fig. 6)是營養鹽通量分析的基準。DO梯度與營養鹽通量的相關性(如與NO??通量負相關)證實了氧化還原條件對氮循環的調控作用,微電極數據為Fick定律計算提供了可靠輸入,減少了傳統取樣帶來的誤差。
揭示擾動后恢復動態:地震一年后DO剖面已顯示穩定梯度,表明氧化層快速重建。微電極數據提供了擾動后早期成巖恢復的高時間分辨率快照,暗示在頻繁擾動區,沉積物系統可能具韌性,氧動態主要受持續有機質輸入而非單次事件控制。
技術優勢與應用價值:Unisense電極的原位、無損測量避免了船載采樣擾動,確保了DO數據的真實性。在管理層面,這些數據可用于評估沿海擾動區的碳匯功能,為地震災害后生態系統監測提供技術標準。
總之,丹麥Unisense電極數據不僅是描述氧變化的工具,更是解碼擾動沉積物生物地球化學的關鍵,通過提供微尺度環境證據,提升了我們對事件驅動下海洋碳氮循環的理解。