熱線:021-66110810,66110819
手機:13564362870

熱線:021-66110810,66110819
手機:13564362870
Micro vertical changes in soil pH and base cations over time after application of wood ash on forest soil
木灰施用后森林土壤pH和鹽基陽離子的微垂直變化隨時間變化
來源: Forest Ecology and Management, Volume 406, 2017, Pages 274-280
《森林生態與管理》,第406卷,2017年,第274-280頁
摘要
論文摘要指出,木灰施用可抵消森林土壤酸化并補充因采伐損失的養分,但缺乏對灰分施用后微尺度土壤pH變化的研究。本研究通過柱實驗模擬森林土壤,施用不同劑量木灰(0、3和9噸/公頃),使用微傳感器測量O層和A層土壤pH的微垂直變化,并分析鹽基陽離子。結果顯示,灰分施用造成土壤頂部1-1.5厘米內強烈的pH梯度(pH 11至4.5),最高變異出現在施用后50天內。灰分增加養分有效性,但若忽略微尺度變異,平均pH值會誤導實際極端條件。
研究目的
研究旨在探究木灰施用后森林土壤pH和鹽基陽離子在微垂直尺度上的時間變化,驗證灰分施用是否在酸性森林土壤中產生強烈pH梯度,以及鹽基陽離子濃度是否隨深度和時間發生類似變化。
研究思路
研究在丹麥Gedhus種植園的挪威云杉林采集O層和A層土壤,重建柱實驗(有機層1厘米,礦質層15厘米)。設置三種處理(對照、Ash3、Ash9),每月取土壤芯使用Unisense微傳感器測量pH剖面(500微米間隔),并在四個時間點(62、152、278、363天)取樣分析交換性鹽基陽離子。通過統計模型分析pH最大值、下降速率和陽離子變化。
測量的數據及研究意義
1 pH微垂直變化數據來自Figure 1,通過等高線圖展示不同處理隨時間在0-5厘米深度的pH分布。研究意義是首次揭示灰分施用后土壤頂部存在的極端pH梯度(7個單位/1.5厘米),證明傳統批量采樣會低估局部條件對微生物和生態過程的影響。

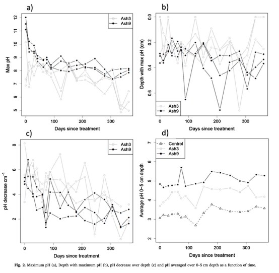
2 pH參數量化數據來自Figure 2,包括最大值(a)、最大值深度(b)、pH下降速率(c)和0-5厘米平均pH(d)。研究意義是量化灰分劑量效應:Ash9比Ash3的最大pH高1.214單位,pH下降速率慢1.269厘米?1,表明高劑量灰分效應更持久。

3 鹽基陽離子數據來自Table 2,顯示不同深度和時間的陽離子濃度、陽離子交換量(CEC)和鹽基飽和度。研究意義是驗證灰分促進養分遷移:Ash9在0-5厘米深度均顯著增加鹽基陽離子,CEC在0-2厘米提升,鹽基飽和度全層提高,而鋁鐵濃度下降,改善土壤肥力。

結論
木灰施用在土壤頂部1-1.5厘米產生強pH梯度,最大變異出現在施用后50天內。高劑量灰分(9噸/公頃)效應更深入持久。批量采樣的平均pH會掩蓋局部極端條件,建議未來研究采用微尺度深度增量和高時間分辨率采樣以準確評估灰分效應。
使用丹麥Unisense電極測量數據的研究意義
使用丹麥Unisense pH微傳感器實現500微米間隔的高分辨率垂直剖面測量,突破傳統批量采樣限制。研究意義在于:首次捕獲灰分顆粒周邊pH的瞬時空間變異(如Ash9表層pH瞬時升至11.5),揭示化學反應的局部強度;通過連續監測發現pH梯度隨時間平滑化(最大值每日下降0.006單位),明確灰分中和效應的動態過程;微尺度數據證明土壤微生物可能暴露于短期極端pH環境,為解釋微生物群落變化提供新機制。該技術為評估灰分對土壤生物地球化學過程的真實影響提供關鍵方法學進步。