熱線:021-66110810,66110819
手機:13564362870

熱線:021-66110810,66110819
手機:13564362870
Oxygen transfer dynamics and activated sludge floc structure under different sludge retention times at low dissolved oxygen concentrations
不同污泥停留時間下低溶解氧濃度的氧傳遞動力學和活性污泥絮體結構
來源:Chemosphere, Volume 169, 2017, Pages 586-595
《化學圈》,第169卷,2017年,頁碼586-595
摘要
這篇論文研究了在低溶解氧條件下,不同污泥停留時間對活性污泥系統氧傳遞動力學和絮體結構的影響。摘要指出,通過微電極技術分析氧擴散特性,發現長污泥停留時間能改善處理能力和沉降性能,歸因于較小的絮體尺寸和較少的細胞外聚合物,從而提高氧擴散性能。長污泥停留時間可緩解低溶解氧的不利影響。
研究目的
研究目的是探討低溶解氧條件下污泥停留時間對氧傳遞、污泥特性及營養物去除效率的影響,以優化污水處理廠的能耗和運行性能。
研究思路
研究思路通過運行四個不同污泥停留時間的活性污泥反應器,在低溶解氧條件下操作,使用微電極測量絮體內部氧濃度剖面,結合細胞外聚合物分析、絮體尺寸分布、分形維數測定和沉降性能評估,綜合研究污泥停留時間的影響。
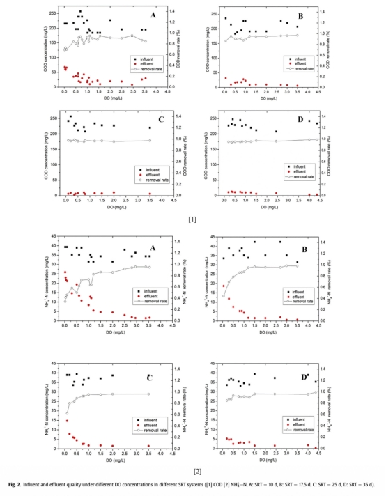
測量的數據及研究意義
1 COD和銨氮去除效率數據:測量了不同污泥停留時間下化學需氧量和銨氮的進出水濃度及去除率,來自圖2和表1a、1b。研究意義是長污泥停留時間在低溶解氧下仍能維持高去除率(化學需氧量≥90%,銨氮≥80%),顯示長污泥停留時間可補償低溶解氧對硝化的抑制,為優化曝氣提供依據。


2 細胞外聚合物組成數據:分析了不同污泥停留時間下單位污泥的細胞外聚合物、蛋白質、多糖和脫氧核糖核酸含量,來自表2。研究意義是長污泥停留時間單位污泥細胞外聚合物減少(從0.289 mg/mg混合液懸浮固體降至0.101 mg/mg混合液懸浮固體),降低氧傳質阻力,改善氧擴散效率。

3 絮體尺寸分布數據:測量了絮體尺寸的體積分布和平均直徑,來自圖4。研究意義是長污泥停留時間絮體尺寸減小(模式尺寸從631.0μm降至182.0μm),有利于氧滲透到絮體核心,減少缺氧區。

4 氧濃度微剖面數據:使用微電極測量絮體內部溶解氧濃度空間分布,來自圖3。研究意義是直接顯示氧梯度,長污泥停留時間絮體氧消耗更均勻(氧擴散率從0.0023增至0.0032 mg/μm·L),揭示絮體結構對氧傳質的影響。

5 分形維數和污泥體積指數數據:計算了絮體分形維數和測量了污泥體積指數,來自圖6。研究意義是長污泥停留時間絮體更緊密規則(分形維數從1.23增至1.30),沉降性能改善(污泥體積指數從548.2 mL/g降至167.7 mL/g),關聯結構與沉降能力。

結論
長污泥停留時間能緩解低溶解氧條件的不利影響,通過減少絮體尺寸和細胞外聚合物,提高氧擴散效率和沉降性能,改善營養物去除。長污泥停留時間系統對低溶解氧不敏感,有利于節能運行。
使用丹麥Unisense電極測量數據的研究意義
使用丹麥Unisense微電極測量數據的研究意義在于實現了絮體內部氧濃度的高空間分辨率原位監測,能夠精確捕捉氧擴散的微觀動力學。微電極系統具有微小尖端(10μm)和高響應速度,可測量絮體不同深度的氧濃度梯度(如圖3所示),量化氧擴散率。這直接揭示了絮體結構(如尺寸和細胞外聚合物含量)對氧傳質的影響,例如顯示長污泥停留時間絮體氧消耗更均勻,擴散率更高。這種微觀視角彌補了宏觀測量的不足,為理解氧傳遞機制和優化曝氣策略提供了關鍵證據,最終支持低能耗污水處理工藝的設計。