熱線:021-66110810,66110819
手機:13564362870

熱線:021-66110810,66110819
手機:13564362870
Adipose HIF-1a causes obesity by suppressing brown adipose tissue thermogenesis
脂肪組織HIF-1α通過抑制棕色脂肪組織產熱導致肥胖
來源:Journal of Molecular Medicine, Volume 95, 2017, Pages 287-297
《分子醫學雜志》,第95卷,2017年,第287-297頁
摘要
這篇論文研究了脂肪組織中缺氧誘導因子-1α(HIF-1α)如何通過抑制棕色脂肪組織(BAT)產熱導致肥胖。研究比較了在脂肪組織組成性表達HIF-1α的轉基因小鼠(HIF-1α++)在常溫(22°C)和熱中性溫度(30°C)下的代謝表現。結果顯示,在22°C時,HIF-1α++小鼠表現出加速的體重增加、冷不耐受、葡萄糖不耐受、高血糖和能量消耗減少,而這些變化在30°C時消失或減弱。在分子水平上,HIF-1α++小鼠的棕色脂肪細胞耗氧量減少約50%,伴隨線粒體含量、解偶聯蛋白2和過氧化物酶體增殖物激活受體γ共激活劑1α(PGC-1α)的降低。
研究目的
研究目的是探究脂肪組織HIF-1α激活是否通過干擾棕色脂肪產熱而減少能量消耗,從而促進肥胖,并確定這種效應是否依賴于環境溫度。
研究思路
研究思路包括:使用脂肪組織特異性表達HIF-1α的轉基因小鼠模型,在常溫(22°C)和熱中性溫度(30°C)下比較小鼠的體重增加、食物攝入、能量代謝和葡萄糖耐受性;通過離體脂肪細胞耗氧量測量、基因表達分析和線粒體DNA含量檢測,闡明HIF-1α影響棕色脂肪功能的分子機制。
測量的數據及研究意義
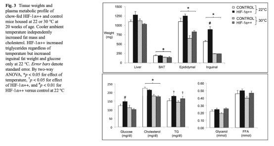
1 體重增加和體成分:在22°C時,HIF-1α++小鼠體重增加更快,腹股溝脂肪質量增加,而在30°C時無顯著差異。數據來自圖2和圖3。研究意義:表明HIF-1α誘導的肥胖具有溫度依賴性,提示其與棕色脂肪產熱活性相關。


2 能量消耗和體溫:在22°C時,HIF-1α++小鼠能量消耗降低,體溫較低約1°C;在30°C時差異消失。數據來自圖6。研究意義:直接證明HIF-1α抑制整體能量代謝,且在低溫環境下更為顯著。

3 葡萄糖耐受性:在22°C時,HIF-1α++小鼠葡萄糖耐受性受損,而在30°C時無差異。研究意義:顯示HIF-1α引起的代謝紊亂與溫度應激下的能量失衡相關。
4 脂肪細胞耗氧量:使用丹麥Unisense電極測量離體脂肪細胞耗氧量,發現HIF-1α++小鼠棕色脂肪細胞耗氧量減少50%,白色脂肪細胞無變化。數據來自圖7。研究意義:提供直接證據表明HIF-1α特異性抑制棕色脂肪細胞的呼吸功能。

5 基因表達和線粒體含量:HIF-1α++小鼠棕色脂肪中UCP2、CPT1、PGC-1α表達降低,線粒體DNA減少。數據來自圖8。研究意義:揭示HIF-1α通過抑制線粒體生物發生和代謝關鍵基因表達,損害棕色脂肪功能。

6 組織學分析:HIF-1α++小鼠腹股溝脂肪細胞在22°C時顯著肥大,棕色脂肪在30°C時有白色脂肪浸潤但無基因型差異。數據來自圖4和圖5。研究意義:證實HIF-1α引起脂肪組織重塑,且與溫度交互作用。


結論
論文得出結論:脂肪組織HIF-1α的組成性激活通過抑制棕色脂肪產熱和細胞呼吸,在低溫環境下導致肥胖和代謝紊亂。這種效應與線粒體含量減少、UCP2和PGC-1α表達下調相關,表明HIF-1α在調節能量平衡中起關鍵作用,且其促肥胖效應高度依賴于環境溫度。
使用丹麥Unisense電極測量數據的研究意義
使用丹麥Unisense電極測量的脂肪細胞耗氧量數據為研究提供了關鍵的細胞水平證據。這些測量顯示,HIF-1α++小鼠棕色脂肪細胞耗氧量減少約50%(圖7),而白色脂肪細胞無顯著變化,直接證明了HIF-1α對棕色脂肪呼吸功能的特異性抑制。研究意義在于:Unisense電極的高靈敏度允許在離體條件下精確量化細胞代謝活性,排除了體內神經激素調節的干擾,從而明確了HIF-1α對棕色脂肪細胞的直接作用。這一發現將整體表型(能量消耗降低)與細胞機制(呼吸抑制)直接聯系起來,強化了HIF-1α通過損害棕色脂肪產熱促進肥胖的假說。此外,該技術為未來研究能量代謝的細胞基礎提供了可靠方法。