熱線:021-66110810,66110819
手機:13564362870

熱線:021-66110810,66110819
手機:13564362870
Symbiodinium mitigate the combined effects of hypoxia and acidification on a noncalcifying cnidarian
共生二銨可以減輕缺氧和酸化對非鈣化性刺胞動物的聯合作用
來源:Glob Change Biol. 2017;23:3690–3703.
一、論文摘要
本研究核心探討了在人為活動導致沿海水域富營養化的背景下,共生蟲黃藻能否緩解其宿主(一種非鈣化刺胞動物,倒立水母Cassiopea sp.) 所受的低氧和海水酸化的復合壓力。通過一個全因子實驗,研究者比較了共生型和非共生型水母息肉在常氧/低氧、正常pH/低pH不同組合條件下的適應性。研究發現,酸化單獨作用時,共生型息肉的出芽生殖數量比非共生型高出58%,表明蟲黃藻的光合作用(吸收CO2,釋放O2)有益于宿主。然而,低氧單獨作用時,無論是否存在共生藻,息肉數量均減少22%,說明蟲黃藻無法緩解單純的缺氧壓力。最關鍵的是,在低氧和酸化復合作用下,共生型息肉的繁殖能力與非共生型在正常環境下的表現相當,證明蟲黃藻的存在對于幫助宿主抵抗這兩種壓力的協同負面影響至關重要。研究者推測,在高壓CO2條件下,蟲黃藻的光合作用因減少了光呼吸而增強了凈氧氣產量,從而抵消了宿主的氧債。
二、研究目的
本研究旨在驗證一個核心假設:共生的蟲黃藻能夠緩解低氧和海水酸化對其非鈣化刺胞動物宿主(Cassiopea sp. 息肉)的生理壓力。研究試圖填補一個關鍵空白:盡管低氧和酸化在富營養化沿海環境中總是協同發生,但大多數研究只關注單一壓力,或使用不現實的方法(如用氮氣驅氧,這會錯誤地提高pH)來模擬低氧。本研究旨在更真實地模擬自然環境,并首次直接檢驗蟲黃藻在幫助宿主應對這兩種交織的環境壓力中所起的潛在作用。
三、研究思路
研究遵循了 “精確模擬 -> 對照實驗 -> 多指標測量”的嚴謹思路:
環境精準模擬:使用質量流量控制器精確混合CO2、N2和O2氣體,在實驗室水族箱中真實地復現了自然富營養化水域中存在的低氧伴隨酸化的化學條件,并模擬了其晝夜波動。
全因子實驗設計:建立了一個2x2x2的全因子實驗,三個因子分別為:pH水平(環境pH 7.95 vs. 降低pH 7.63)、溶解氧水平(常氧 6.14 mg/L vs. 低氧 2.09 mg/L)和息肉類型(共生型 vs. 非共生型)。共8個處理組,每組4個重復。
多維度指標測量:在22天的實驗期間,從多個維度評估了宿主和共生藻的反應:
宿主適應性:以無性繁殖(出芽生殖)產生的息肉數量為核心指標。
宿主生理:使用丹麥Unisense微電極測量息肉組織內部的pH剖面,評估其內部化學環境的調控能力。
共生藻性能:測量其最大光化學效率、細胞密度和每個細胞的葉綠素a含量。
四、測量數據、研究意義及來源
研究者測量了多個層面的數據,其意義和來源如下:
宿主適應性:息肉數量:這是衡量宿主整體適應性的最關鍵指標。
研究意義:直接反映了環境壓力對宿主種群增長的最終影響,并揭示了共生藻的保護作用。

數據來源:實驗結束時(第22天)各處理組的息肉數量總結在 文檔圖1中。
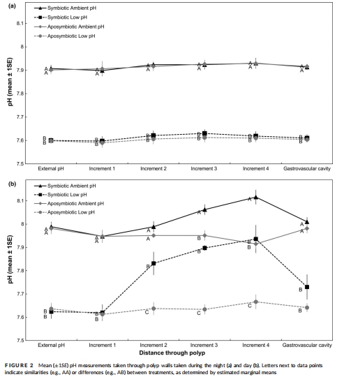
宿主內部環境:pH剖面:使用微電極從外到內穿透息肉體壁,測量一系列位點的pH值。
研究意義:為了解蟲黃藻光合作用如何改變宿主微環境提供了最直接的證據。數據顯示了宿主內部化學環境的時空(晝夜、從外到內)變化。


數據來源:詳細的pH剖面測量結果和統計分析展示在 文檔圖2和 文檔表2中。
共生藻狀態:細胞密度與葉綠素a含量:測量了每個息肉內的蟲黃藻數量以及每個細胞所含的葉綠素a。
研究意義:反映了蟲黃藻種群的生長狀況和光合生理狀態。細胞密度增加表明其增殖,而葉綠素a含量變化則可能反映其對環境壓力的光合適應。


數據來源:實驗結束時蟲黃藻細胞密度和葉綠素a含量的數據展示在 文檔圖3中,相應的統計學分析總結在 文檔表3中。
五、研究結論
共生藻有效緩解酸化壓力:在單獨酸化條件下,共生型息肉的繁殖率顯著高于非共生型,且蟲黃藻細胞密度更高。這表明升高的CO2濃度促進了蟲黃藻的光合作用,為宿主帶來了“CO2施肥效應”,從而增強了宿主的適應性。
共生藻無法緩解單純低氧:低氧條件顯著抑制了所有息肉的繁殖,無論其是否共生。這說明蟲黃藻在白天產生的氧氣不足以補償夜間或持續低氧對宿主造成的生理壓力。
共生藻是抵抗復合壓力的關鍵:在低氧和酸化共同存在時,共生型息肉的繁殖能力恢復到了與非共生型在正常環境下相當的水平。這表明,在酸化背景下,蟲黃藻的光合作用效率可能因減少光呼吸而提高,產生的額外氧氣幫助宿主抵消了低氧的負面影響,產生了積極的協同效應。
內部化學環境得到改善:微電極測量證實,在白天,共生型息肉內部的pH值顯著高于外界環境和非共生型息肉,這直接證明了蟲黃藻通過吸收CO2來幫助宿主抵抗外部酸化,穩定其內部化學環境。
六、丹麥Unisense電極測量數據的研究意義詳解
本研究中使用的是丹麥Unisense pH微電極,其尖端直徑極小(20-30 μm),能夠進行高空間分辨率的測量。
其研究意義至關重要,是證明共生藻生理作用的最直接證據,體現在以下幾個方面:
直接證實“宿主內部化學環境改善”的假設:理論認為蟲黃藻能通過光合作用吸收CO2,從而緩解宿主體內的酸化。Unisense電極提供的數據首次在微觀尺度上直觀地驗證了這一假設。數據顯示,在白天,共生型息肉體內的pH從外到內逐漸升高,并在體壁內部達到峰值,顯著高于外界環境;而非共生型息肉的內部pH則始終與外界海水一致。這為“蟲黃藻能幫助宿主抵御酸化”提供了無可辯駁的、定量的原位證據。
揭示作用的時空動態性:Unisense電極的測量揭示了這種保護作用具有晝夜節律性。在白天有光時,共生型息肉內部pH升高;而在夜間,其內部pH則降至與環境持平的水平。這一方面說明了該效應完全依賴于蟲黃藻的光合作用,另一方面也強調了在評估環境壓力時考慮晝夜循環的重要性。電極數據將生理過程與時間維度精確關聯。
闡明協同效應的潛在機制:電極數據表明,在“低pH”處理中,共生型息肉成功地將內部pH提升到了與環境pH處理中非共生型息肉相當的水平。這一發現為解釋復合壓力下的協同效應提供了關鍵線索:酸化環境(高CO2)可能刺激蟲黃藻進行更高效的光合作用(減少光呼吸),從而在低氧條件下為宿主產生更多氧氣。Unisense電極測量的內部CO2/pH變化正是這一系列生化反應的起點和直接體現。
總結:丹麥Unisense微電極在本研究中扮演了 “微觀生理探針”的角色。它提供的高分辨率pH數據,成功地將宏觀的環境脅迫(低pH)、生物的生理功能(蟲黃藻光合作用)與宿主的內部微環境變化聯系起來,將傳統的推論變成了直接的證明。沒有這些數據,關于共生藻如何緩解酸化的論述將停留在間接相關性層面(如宿主生長更好),而Unisense的數據使其上升到了因果關系和機制闡釋的層面,極大地增強了研究的說服力和深度。