熱線:021-66110810,66110819
手機:13564362870

熱線:021-66110810,66110819
手機:13564362870
Combined, short-term exposure to reduced seawater pH and elevated temperature induces community shifts in an intertidal meiobenthic assemblage
短期暴露于海水酸度降低和溫度升高的環境中會導致潮間帶微小底棲生物群落發生變化
來源:Marine Environmental Research 133 (2018) 32–44
一、論文摘要
這篇發表在《Marine Environmental Research》上的論文研究了短期(8周)暴露于海水酸化和升溫的交互作用下,對潮間帶沙質沉積物中小型底棲生物群落的影響。研究通過微宇宙實驗,模擬了兩種pH值(環境pH 7.9 vs. 降低的pH 7.5)和兩種溫度(10°C vs. 13°C)的交叉組合。研究發現,pH和溫度的協同作用對群落結構產生了顯著影響,具體表現為:捕食性扁形動物(Platyhelminthes)密度增加,橈足類(Copepoda)及其無節幼體(Nauplii)密度減少,以及 Gastrotricha 的完全消失。此外,降低pH會提高線蟲的染色比率,這表明線蟲死亡率升高或其尸體降解速率變慢。研究強調,在評估全球變化對海洋環境的影響時,進行多脅迫因子實驗至關重要。
二、研究目的
本研究旨在驗證一個核心假設:在未來海洋酸化(pH降低)和變暖(溫度升高)的協同作用下,對小型底棲生物群落的負面影響將大于單個脅迫因子效應的簡單相加,即存在協同效應。研究試圖在生態相關的多物種群落水平上,揭示這種交互作用如何改變群落結構、生物間的相互作用(如捕食關系)以及關鍵的沉積物環境特征。
三、研究思路
研究思路遵循了“野外采樣 -> 實驗室模擬 -> 多指標測量 -> 統計分析”的路徑:
野外采樣與實驗設置:從荷蘭西斯海爾德河口保利娜潮灘采集未受擾動的沉積物柱芯,將其運至實驗室。
多因子交叉設計:在氣候控制室內,建立一個包含4種處理(環境pH/溫度、降低pH/環境溫度、環境pH/升高溫度、降低pH/升高溫度)的微宇宙實驗系統,持續8周。
綜合指標測量:實驗結束后,同步測量兩大類指標:
環境變量:包括孔隙水pH剖面、沉積物粒度、總有機質、總有機碳/氮、葉綠素a等植物色素濃度、碳酸鹽濃度。
生物響應變量:包括整個小型底棲生物的群落組成、密度,并創新性地使用臺盼藍染色法計算線蟲染色比率,作為評估死亡率的代理指標。
數據關聯分析:利用多元統計方法(如PERMANOVA, DistLM, dbRDA)分析環境變量與生物群落變化之間的關系,甄別驅動群落變化的關鍵因素。
四、測量數據、研究意義及來源
研究者測量了多個層面的數據,其意義和來源如下:
環境參數:海水溫度與pH:持續監測實驗期間各處理組的實際水溫和pH值,確保實驗條件按設計進行。
研究意義:這是實驗處理有效性的基礎證明,是后續所有效應分析的前提。

數據來源:文檔圖1展示了整個實驗期間海水溫度和pH的動態變化。
環境參數:沉積物孔隙水pH剖面:使用丹麥Unisense微電極在實驗結束時測量沉積物剖面的pH值(從水上0.5 cm至水下約3 cm深度)。
研究意義:直接反映了環境脅迫(水體的酸化和升溫)如何改變小型底棲生物實際生活的微環境化學條件。

數據來源:測量結果展示在文檔圖2中。
生物響應:小型底棲生物群落組成與密度:鑒定并計數所有后生小型底棲生物類群。
研究意義:直接反映了全球變化脅迫因子對群落結構的整體影響,揭示了哪些類群是“贏家”或“輸家”。

數據來源:關鍵類群(扁形動物、橈足類等)的密度變化展示在文檔圖3中。
生物響應:線蟲染色比率:通過臺盼藍染色區分“被染色”(可能已死亡或角質層有損)和“未染色”的線蟲,并計算其比率。
研究意義:這是一個重要的方法學創新。傳統的密度計數可能掩蓋了高死亡率(如果尸體未快速降解)。該指標為評估酸化/變暖的生理脅迫提供了更敏感的指標,揭示了潛在的高死亡率。

數據來源:各處理組不同沉積深度的線蟲染色與未染色數量展示在文檔圖4中。
環境參數:沉積物特性:測量了沉積物粒度、總有機質、葉綠素a等。
研究意義:這些參數是影響底棲生物分布的關鍵環境因子,有助于解釋觀察到的生物群落變化是直接由pH/溫度引起,還是通過改變沉積物物理結構或食物資源間接引起的。


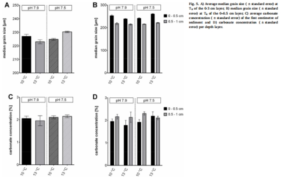
數據來源:沉積物中值粒徑和碳酸鹽濃度等關鍵數據展示在文檔圖5中;總有機質、葉綠素a等數據展示在文檔圖6中。
環境與生物的關聯分析:通過距離線性模型和基于距離的冗余分析,將環境變量與生物群落數據進行關聯。
研究意義:定量揭示了是哪些環境因子(如pH、溫度、粒度)共同驅動了觀測到的生物群落變化。

數據來源:分析結果可視化在文檔圖7的dbRDA圖中。
五、研究結論
存在顯著的協同效應:pH降低和溫度升高對小型底棲生物群落組成產生了協同作用,而非簡單的相加效應。這種效應在降低pH和升高溫度的組合處理中最為強烈。
群落結構發生改變:協同效應導致群落結構顯著變化,具體表現為捕食性扁形動物增加,而潛在的獵物(如橈足類、Gastrotricha)減少或消失。這表明全球變化可能通過改變種間關系(如捕食壓力)來影響生態系統。
線蟲死亡率升高:降低的海水pH導致線蟲染色比率顯著升高,這暗示著線蟲死亡率增加或其尸體降解過程變慢。這表明即使線蟲總體密度未顯著變化,種群可能已受到嚴重的生理脅迫。
沉積物環境被改變:環境脅迫也改變了沉積物特性(如粒度、有機質含量),這些物理化學變化與生物群落變化顯著相關,共同塑造了最終的生態響應。
強調多脅迫因子研究的重要性:研究結果強有力地證明,單一脅迫因子實驗可能會低估未來氣候變化對海洋底棲生態系統的真實影響,因此必須進行多因子交互作用的研究。
六、丹麥Unisense電極測量數據的研究意義詳解
丹麥Unisense微電極在本研究中用于高分辨率(每500微米)測量沉積物孔隙水的pH剖面。
其研究意義至關重要,體現在以下幾個方面:
揭示脅迫因子對生物微環境的“放大”效應:Unisense電極提供的數據(文檔圖2)直觀地顯示,雖然實驗處理是針對上覆水體的,但其影響直接傳遞并改變了沉積物內部的化學環境。更重要的是,它揭示了協同作用的物理化學基礎:在“升高溫度+降低pH”的處理中,沉積物深層(例如19-24毫米處)的孔隙水變得更加酸化。這意味著生活在該深度的底棲生物實際上承受著比表層生物更為嚴酷的酸性環境。
為觀察到的生物垂直分布提供機理解釋:研究發現,在“升高溫度+降低pH”的處理中,大多數小型底棲生物都集中在沉積物最表層(0-1厘米)。Unisense電極測得的pH剖面為這種行為提供了直接解釋:生物為了躲避深層沉積物中極度酸化的不利條件,而向上遷移。這直接將環境脅迫的物理化學信號與生物的生態行為(棲息地選擇)聯系起來,使研究結論更加堅實。
量化了沉積物內部的化學梯度:電極數據不僅顯示了pH的絕對值,還清晰描繪了pH在沉積物中的垂直變化梯度,例如在約5毫米深度處存在一個pH最小值。這為了解沉積物中的生物地球化學過程(如有機質礦化)提供了線索,并表明生物在其生活的不同深度所經歷的環境脅迫程度是不同的。
總結:丹麥Unisense電極在本研究中扮演了 “環境探針”和“機制驗證器”的角色。它提供的高分辨率數據,成功地將宏觀的水體處理與微觀的沉積物孔隙水化學聯系起來,確鑿地證明了全球變化脅迫因子如何改變生物的實際棲息環境,并為進一步解釋觀察到的生物群落變化(如垂直分布改變)提供了關鍵的、定量的環境背景數據。沒有這些數據,對協同效應的理解將停留在統計相關性層面,而Unisense的數據使其上升到了因果關系和機制闡釋的層面。