熱線:021-66110810,66110819
手機:13564362870

熱線:021-66110810,66110819
手機:13564362870
Microbial activity influences electrical conductivity of biofilm anode
微生物活性影響生物膜陽極的導電性
來源:Water Res. 2017 December 15; 127: 230–238.
論文摘要
本論文研究了在微生物電化學細胞(MxC)中,Geobacter富集的生物膜陽極的電導率如何受質子梯度影響。通過控制磷酸鹽緩沖液濃度(100 mM、50 mM和2.5 mM),在生物膜內部構建不同的pH梯度。研究發現,在高緩沖濃度(100 mM)下,生物膜內無pH梯度,電流密度高(2.38 A/m2),生物膜電導率(Kbio)達0.87 mS/cm;而在低緩沖濃度(2.5 mM)下,生物膜內部酸化(pH降低0.3–0.5單位),死細胞在約80μm深處積累,電流密度降至0.64 A/m2,Kbio顯著降低至0.27 mS/cm。通過共聚焦激光掃描顯微鏡(CLSM)和電化學分析,證實生物膜電導率與活細胞和死細胞的組成密切相關,微生物活性是影響電導率的關鍵因素。
研究目的
本研究的主要目的包括:
量化質子梯度對生物膜電導率的影響:通過調控磷酸鹽緩沖液濃度,在生物膜陽極中構建不同的質子梯度,評估其對電導率(Kbio)的作用。
揭示酸性pH對胞外電子傳遞(EET)動力學的機制:探討低緩沖條件下生物膜酸化如何抑制陽極呼吸菌(ARB)活性,進而影響EET效率和電流輸出。
關聯微生物活性與電導率:通過微生物群落分析和CLSM成像,驗證生物膜電導率與活細胞比例的直接關系。
為MxC優化提供理論依據:為高電流密度MxC的設計提供參數,如緩沖液濃度和pH管理策略。
研究思路
本研究采用了“梯度調控-多參數測量-機制驗證”的系統思路:
實驗系統構建:使用雙室MxC反應器,金電極作為陽極,通過電位控制(-0.2 V vs. SHE)富集Geobacter生物膜。逐步降低磷酸鹽緩沖液濃度(100 mM → 50 mM → 2.5 mM),創建不同的質子梯度條件。
關鍵參數實時監測:
電化學性能:持續測量電流密度、循環伏安(CV)曲線,計算半飽和電位(EKA)。
生物膜特性:測量生物膜厚度(使用微電極法)、電導率(Kbio,通過雙探針法)。
pH梯度:使用丹麥Unisense pH微電極以高空間分辨率(步長5μm)原位測量生物膜內部的垂直pH分布。
微生物活性:通過CLSM對生物膜染色(活/死細胞),定性評估ARB代謝活性;通過16S rRNA測序分析群落結構。
數據建模與驗證:使用Nernst-Monod模型模擬CV曲線,驗證EET動力學;結合pH梯度和Kbio數據,分析質子積累對電導率的抑制機制。
測量數據及其研究意義
研究測量了多類數據,其意義和來源如下(數據均引用自文檔中的圖表和正文):
電流密度隨時間變化(反映MXC整體性能)
測量指標:在不同磷酸鹽緩沖液濃度下,MXC的穩態電流密度動態。
研究意義:圖2顯示,電流密度隨緩沖液濃度降低而下降(100 mM時2.38 A/m2,2.5 mM時0.64 A/m2),直接證明低緩沖濃度導致質子積累,抑制ARB活性,降低電子傳遞效率。這為優化緩沖條件以維持高電流輸出提供了關鍵依據。

數據來源:圖2(caption: "The steady-state current density in a microbial electrochemical cell...")。
pH梯度垂直分布(關鍵發現:質子積累證據)
測量指標:使用丹麥Unisense pH微電極測量的生物膜內部、邊界層和體相溶液的pH沿深度變化。
研究意義:圖3顯示,100 mM緩沖液時生物膜內無pH梯度(pH≈7.2);而2.5 mM時,內部pH降至6.5–6.7。首次在微觀尺度量化生物膜酸化程度,證實低緩沖導致質子無法有效運出,引發局部酸中毒,為Kbio下降提供直接環境證據。

數據來源:圖3(caption: "pH gradients within the biofilm at different phosphate buffer concentrations")。
生物膜電導率(Kbio)與緩沖液濃度關系(核心電化學參數)
測量指標:通過雙探針法測量的生物膜電導率隨緩沖液濃度變化。
研究意義:圖5顯示,Kbio從100 mM時的0.87 mS/cm降至2.5 mM時的0.27 mS/cm。表明電導率與微生物活性正相關,酸化導致死細胞積累,破壞電子傳遞路徑,揭示了生物膜電導率不僅依賴導電菌毛,更受整體微生物活性調控。

數據來源:圖5(caption: "Average current density and biofilm conductivity at different phosphate buffer concentrations")。
CLSM活/死細胞成像(驗證微生物活性空間分布)
測量指標:通過CLSM對生物膜染色,顯示活細胞(綠色)和死細胞(紅色)的分布。
研究意義:圖4顯示,100 mM時生物膜全層為活細胞(綠色),而2.5 mM時內部80μm區域以死細胞(紅色)為主。直觀證實酸化導致內層ARB死亡,與pH梯度數據吻合,從生物學角度解釋Kbio下降原因。

數據來源:圖4(caption: "2D Confocal laser scanning microscopy(CLSM) images of biofilm anodes...")。
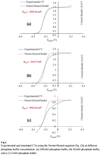
CV曲線與Nernst-Monod模擬(評估EET動力學)
測量指標:實驗CV曲線與模型模擬的對比。
研究意義:圖6顯示,100 mM時實驗與模擬CV高度吻合(EKA = -225 mV),而2.5 mM時偏差顯著。表明低緩沖下EET能量損失增大,驗證了Kbio降低對電子傳遞動力學的負面影響,支持“質子梯度抑制EET”的假設。

數據來源:圖6(caption: "Experimental and simulated CVs using the Nernst-Monod equation...")。
微生物群落組成(背景信息)
測量指標:16S rRNA測序得到的生物膜菌群在門和屬水平的分布。
研究意義:表1顯示Geobacter占主導(78%),確保實驗一致性,排除群落演變對結果的干擾,聚焦于pH梯度而非物種變化的影響。

數據來源:表1(caption: "Distribution of bacterial 16S rRNA in mother and experimental MxCbuffer")。
生物膜厚度和EKA(輔助參數)
測量指標:生物膜厚度(Lf)和半飽和電位(EKA)。
研究意義:表2顯示Lf穩定(119±26 μm),但EKA隨緩沖濃度降低而正移(-225 mV至-180 mV)。表明酸化增加電子傳遞能壘,補充了Kbio變化的電化學機制。

數據來源:表2(caption: "Biofilm thickness, biofilm conductivity, half-saturation potential and current density...")。
研究結論
質子梯度直接調控生物膜電導率:低緩沖濃度(如2.5 mM)導致生物膜內部酸化(pH≤6.7),引發內層ARB死亡,Kbio降低高達69%(從0.87至0.27 mS/cm)。
微生物活性是電導率的關鍵決定因素:CLSM證實活細胞比例與Kbio正相關,表明電導率不僅依賴導電結構(如菌毛),更受ARB代謝狀態影響。
EET動力學受pH梯度抑制:低緩沖下CV曲線偏離Nernst-Monod模型,EKA正移,證明質子積累增加電子傳遞阻力,降低電流密度。
應用啟示:維持高緩沖容量(如100 mM磷酸鹽)可避免生物膜酸化,是優化MXC性能的必要條件,尤其適用于低C/N廢水處理。
丹麥Unisense電極測量數據的詳細解讀
在本研究中,丹麥Unisense pH微電極的測量數據是揭示生物膜內部質子梯度與電導率關聯的核心證據,其研究意義至關重要:
提供高分辨率原位pH分布證據:Unisense微電極能以5μm的高空間精度實時測量生物膜內部的pH垂直剖面。圖3的數據顯示,在2.5 mM緩沖液下,生物膜深層(>50μm)pH從體相7.2降至6.5,首次在操作條件下直接捕捉到“酸性核心”的形成。這種原位無損測量避免了傳統取樣對生物膜的破壞,確保了pH梯度的真實性和動態性。
直接鏈接pH梯度與微生物活性:微電極數據將化學環境與生物學響應直接關聯。pH梯度與CLSM死細胞分布(圖4)高度一致,證明酸化導致ARB死亡是Kbio下降的直接原因。沒有Unisense的pH剖面,對“死細胞積累”的解釋將停留于推測,無法建立質子梯度-活性-Kbio的因果鏈。
量化緩沖液的保護作用:通過對比不同緩沖濃度下的pH剖面,Unisense數據明確顯示高緩沖(100 mM)能維持全層pH中性,而低緩沖(2.5 mM)導致梯度形成。這為緩沖液優化提供了精準閾值,指導實際MXC設計中緩沖劑添加量的確定。
支持電化學模型驗證:pH梯度數據與CV偏差(圖6)結合,驗證了Nernst-Monod模型在酸化條件下的局限性。微電極測得的pH值用于計算質子通量,解釋了EKA正移的機制,將微觀環境與宏觀電化學性能無縫鏈接。
技術優勢保障數據可靠性:Unisense微電極的高靈敏度(pH分辨率0.01)、快速響應和微創特性,使其能在MXC操作中實時測量,避免了pH因暴露于空氣或流體擾動而失真。這些高質量數據是得出“質子梯度調控電導率”結論的基石。
綜上所述,丹麥Unisense pH微電極在本研究中扮演了“環境顯微鏡”的角色。其提供的高精度pH垂直剖面,不僅是證明生物膜酸化的“鐵證”,更是連接緩沖條件、微生物生存狀態和電導率性能的橋梁。沒有這項技術,對Kbio下降機制的理解將停留于間接推論,無法從微米尺度揭示質子毒性的空間效應。因此,它是深入解析生物電化學系統界面過程的不可或缺工具。