熱線:021-66110810,66110819
手機:13564362870

熱線:021-66110810,66110819
手機:13564362870
Influence of sediment resuspension on the efficacy of geoengineering materials in the control of internal phosphorous loading from shallow eutrophic lakes
沉積物再懸浮對巖土工程材料控制淺層富營養化湖泊內磷負荷效果的影響
來源:Environmental Pollution 219 (2016) 568-579
論文摘要
本文摘要指出,改性粘土基固相磷吸附劑越來越多地被用作湖泊地球工程材料以控制富營養化。然而,關于這些材料在控制經常發生沉積物再懸浮的淺水湖泊內源磷負荷方面的可行性仍存在爭議。本研究使用沉積物再懸浮生成系統,模擬了中等到強風對兩種地球工程材料(Phoslock®,一種鑭改性膨潤土;和熱處理的鈣基凹凸棒石,NCAP700)處理后的沉積物穩定性的影響。研究分析了兩種淺水富營養化湖泊(太湖和巢湖)沉積物-水界面的磷動態,并利用化學提取和薄膜擴散梯度技術(DGT)分別研究了風速對處理后沉積物中磷形態和磷供應能力的影響。結果表明,添加地球工程材料可以增強表層沉積物的穩定性,從而減少風引起的侵蝕深度。所有處理都能有效降低上覆水中的可溶性活性磷(SRP)濃度,其中Phoslock® 的表現最佳。然而,它們的效率隨著沉積物再懸浮發生次數的增加而降低。添加所選材料能有效減少沉積物-水界面的磷通量,并在再懸浮期間降低處理后沉積物的磷供應能力。處理后沉積物中可移動磷的減少以及鈣結合磷和殘余磷組分的增加,有利于湖泊內源磷的長期管理。所有結果表明,所研究的地球工程材料適用于存在頻繁沉積物再懸浮活動的淺水富營養化湖泊。
研究目的
本研究的主要目的包括:
評估再懸浮對材料效能的影響:在實驗室模擬條件下,量化沉積物再懸浮(由不同風速驅動)對兩種地球工程材料(Phoslock® 和 NCAP700)控制沉積物內源磷釋放效率的影響。
比較不同材料的性能:系統比較Phoslock® 和NCAP700在減少上覆水磷濃度、抑制沉積物-水界面磷通量以及改變沉積物磷形態方面的相對有效性。
探索不同施用方式的優劣:針對NCAP700,比較直接覆蓋在沉積物表面與與表層沉積物混合這兩種施用方式對磷控制效果的影響,以確定更優的應用策略。
闡明作用機理:通過分析沉積物磷的形態變化和DGT測量的活性磷,揭示這些材料控制內源磷的地球化學機制(如促進形成穩定的鈣磷或殘余磷)。
為實際應用提供依據:為將地球工程材料應用于經常受風浪擾動的淺水湖泊的修復實踐,提供關鍵的實驗數據和科學依據。
研究思路
本研究采用了“材料制備 - 模擬實驗 - 多指標監測 - 機理分析 - 效能評估”的系統思路:
材料與沉積物準備:采集中國兩大淺水富營養化湖泊——太湖和巢湖的表層沉積物。制備兩種地球工程材料:商業化的Phoslock®和實驗室熱處理的鈣基凹凸棒石(NCAP700)。
實驗設計:使用專利的Y形沉積物再懸浮裝置(圖1)來模擬真實湖泊中的風浪過程。實驗設置了對照組(未處理)、Phoslock®處理組、NCAP700覆蓋組(材料覆蓋在沉積物表面)和NCAP700混合組(材料與表層2厘米沉積物混合)。

模擬環境擾動:對上述處理后的沉積物施加中等風速(5.1 m/s)和強風(8.7 m/s)模擬,每種風速重復模擬3次,以研究頻繁擾動的影響。
綜合采樣與高頻監測:在整個再懸浮和沉降過程中,按時間序列采集水樣,分析懸浮固體(SS)濃度和可溶性活性磷(SRP)濃度,并計算其通量。實驗結束后,分析沉積物的磷形態組成。
結合先進技術:在實驗前后,使用高分辨率孔隙水采樣器(Peeper)測量孔隙水SRP剖面,并使用薄膜擴散梯度技術(DGT)原位測量沉積物中的活性磷含量,以評估沉積物的磷供應能力。
數據整合與機理闡釋:將SS、SRP的通量數據與沉積物磷形態變化、DGT數據相結合,綜合評估不同材料和處理方式在動態擾動環境下的控磷效能、持久性及其背后的地球化學機理。
測量數據及其研究意義
研究測量了多方面的數據,其意義和來源如下(數據均引用自文檔中的圖表和正文描述):
懸浮固體(SS)濃度與通量(量化沉積物再懸浮程度和穩定性)
測量指標:上覆水中懸浮固體(SS)的濃度隨時間的變化以及SS通過沉積物-水界面的通量(Fss)。
研究意義:這些數據是評估沉積物穩定性和再懸浮強度的直接指標。圖2(太湖)和圖3(巢湖)清晰顯示,與對照組相比,所有地球工程材料處理均顯著降低了SS濃度,表明材料添加增強了沉積物抗侵蝕能力。其中,NCAP700覆蓋處理的效果最穩定。這些數據證實了材料本身對沉積物物理結構的穩固作用,這是其能長期有效控磷的物理基礎。


數據來源:圖2,圖3。
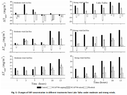
可溶性活性磷(SRP)濃度與通量(直接反映控磷效果)
測量指標:上覆水中SRP濃度隨時間的變化以及SRP通過沉積物-水界面的通量(FSRP)。
研究意義:這是評價地球工程材料控磷效率的核心指標。圖5(太湖)和圖6(巢湖)表明,所有材料處理都顯著降低了上覆水SRP濃度。圖7進一步顯示,材料處理顯著降低了從沉積物向上覆水釋放磷的通量。Phoslock® 在大多數情況下表現最優。這些數據直接證明了材料在動態條件下控制內源磷釋放的有效性,同時也顯示其效率會隨著再懸浮次數增加而有所下降。



數據來源:圖5,圖6,圖7。
沉積物侵蝕深度(直觀展示材料對沉積物物理穩定性的增強)
測量指標:不同風況下,各處理組沉積物表面的侵蝕深度。
研究意義:圖4直觀地顯示了材料處理如何減少沉積物因風力作用而被侵蝕的厚度。NCAP700覆蓋處理的侵蝕深度最淺,表明其形成的覆蓋層能最有效地保護下層沉積物。該數據將SS濃度的變化與沉積物表面的物理變化直接聯系起來,強化了材料增強沉積物穩定性的結論。

數據來源:圖4。
沉積物磷形態分析(揭示材料控磷的化學機理)
測量指標:通過連續提取法測定的沉積物中不同形態磷的含量,包括可移動磷(Labile-P + Fe-P + Org-P)、鈣結合磷(Ca-P)和殘余磷(Res-P)等。
研究意義:圖9和正文指出,材料處理顯著降低了沉積物中可移動磷(Pmobile)的濃度,同時增加了穩定的鈣結合磷(Ca-P)和殘余磷(Res-P)的比例。這揭示了材料的核心作用機制:將活性、易釋放的磷轉化為穩定、不易被生物利用的形態,從而實現長期控磷目標。這是評價材料長期有效性的關鍵化學證據。

數據來源:圖9,以及正文中對磷形態轉化的描述。
DGT測量的活性磷(評估沉積物磷的生物有效性和供應能力)
測量指標:利用DGT技術測得的沉積物中活性磷(CDGT)的濃度。
研究意義:DGT數據提供了沉積物磷的供應能力和潛在生物有效性的信息。圖8顯示,經材料處理的沉積物,其DGT活性磷濃度顯著低于對照組。這表明材料不僅減少了磷的釋放通量,還降低了沉積物內部磷的活性和再補給能力,從“源”頭上減少了磷對水體的威脅。

數據來源:圖8。
研究結論
地球工程材料能增強沉積物穩定性:Phoslock® 和NCAP700的添加均能顯著提高表層沉積物的抗侵蝕能力,降低再懸浮強度和侵蝕深度,其中NCAP700覆蓋方式的效果最為突出。
材料能有效控制內源磷釋放:兩種材料都能顯著降低上覆水中的SRP濃度和沉積物-水界面的磷釋放通量。在多次再懸浮事件后,雖然效率有所下降,但仍能保持較好的控磷效果。Phoslock® 的整體表現通常優于NCAP700。
材料的控磷機制是轉化磷形態:材料的核心作用在于將沉積物中不穩定、易釋放的可移動磷(Pmobile)轉化為穩定的、惰性的鈣結合磷(Ca-P)和殘余磷(Res-P)。這種形態轉化是實現長期內源磷控制的基礎。
施用方式影響效果:對于NCAP700,直接覆蓋在沉積物表面的方式通常比與表層沉積物混合的方式控磷效果更好,尤其是在減少SRP通量和增強沉積物穩定性方面。
材料適用于淺水湖泊:盡管頻繁的沉積物再懸浮會一定程度降低材料效率,但研究結果證實,Phoslock® 和熱改性鈣基凹凸棒石(NCAP700)對于控制經常發生再懸浮的淺水富營養化湖泊的內源磷負荷是可行且有效的。
丹麥Unisense電極測量數據的研究意義
在本研究中,丹麥Unisense溶解氧(O?)微電極的測量數據雖然篇幅不長,但它是理解沉積物早期成巖過程、從而合理解釋磷釋放行為和控制效果的關鍵環境背景參數,其研究意義至關重要:
精確界定沉積物的氧化還原狀態:Unisense O?微電極能夠以極高的垂直空間分辨率(100微米)測量沉積物-水界面附近的溶解氧剖面。本研究利用它確認了湖泊沉積物中氧氣滲透深度(OPD)非常淺,僅約2毫米(見正文3.1節及圖S2)。
為理解磷釋放的化學環境提供基石:溶解氧的垂直分布是控制沉積物磷循環的最關鍵因子之一。在氧化條件下,鐵氧化物能有效吸附磷;而在缺氧條件下,鐵氧化物被還原溶解,會導致吸附的磷大量釋放。Unisense微電極測得的淺層OPD表明,研究湖泊的表層沉積物迅速進入缺氧狀態,這創造了利于磷從沉積物中釋放的化學環境。沒有這個關鍵的氧化還原背景信息,對磷釋放通量數據的解釋將缺乏堅實的地球化學基礎。
間接支持地球工程材料的控磷機理:地球工程材料如Phoslock®(通過La形成LaPO?沉淀)和NCAP700(通過Ca形成Ca-P沉淀)的控磷機制,在一定程度上是獨立于沉積物氧化還原條件的。Unisense電極數據所揭示的強還原環境,恰恰凸顯了傳統上依賴鐵氧化物吸附控磷的局限性,從而反襯出這些新型地球工程材料在穩定缺氧沉積物中控制磷釋放的獨特優勢和必要性。它們的作用是創造一種不依賴于氧化還原狀態的、更穩定的磷儲存庫。
綜上所述,丹麥Unisense O?微電極在本研究中扮演了“環境診斷師”的角色。其提供的高精度溶解氧剖面,是定義沉積物化學環境、理解驅動磷釋放的內在因子、以及正確評估地球工程材料在真實(常為缺氧)環境下的效能和機理的不可或缺的基礎數據。沒有這項技術對沉積物微觀氧化還原結構的精確刻畫,對整個實驗結果的機理闡釋深度將大打折扣。