熱線:021-66110810,66110819
手機:13564362870

熱線:021-66110810,66110819
手機:13564362870
Effects of temperature on phosphorus mobilization in sediments in microcosm experiment and in the field
溫度對沉積物中磷遷移的影響:微宇宙實驗與野外研究
來源:Applied Geochemistry, Volume 88, 2018, Pages 158-166
《應用地球化學》,第88卷,2018年,第158-166頁
摘要
摘要闡述了本研究通過微宇宙實驗和野外調查,探討溫度對沉積物中磷遷移及其釋放到上覆水體的影響。研究使用ZrO-Chelex DGT和Peeper技術高分辨率測量沉積物中的活性磷和鐵,發現溫度升高(從7°C到25°C)顯著增加了沉積物中活性磷和可溶性反應磷的濃度,并促進了微生物活動。磷遷移主要受鐵氧化還原循環控制,溫度升高通過增強微生物還原鐵(氧氫)氧化物來驅動磷釋放。野外條件下溫度效應更顯著,但微宇宙實驗中磷通量變化更大,可能與氧化條件差異有關。
研究目的
研究目的是比較實驗室微宇宙實驗和野外觀察中溫度對沉積物磷遷移的影響,并揭示相關機制。重點在于評估溫度如何通過微生物活動和鐵循環影響磷的動員,使用高分辨率采樣技術來捕捉沉積物的空間異質性和動態過程。
研究思路
研究思路包括在實驗室和野外兩個層面進行對比。在微宇宙實驗中,從太湖采集沉積物核心,在7°C、15°C和25°C下孵育,模擬不同溫度條件,使用ZrO-Chelex DGT和Peeper同時測量沉積物中活性磷/鐵和可溶性磷/鐵的垂直分布(分辨率分別為2 mm和4 mm)。野外調查在太湖同一地點進行,在7°C和25°C時部署相同技術。此外,測量微生物活性、溶解氧(DO)和氧化還原電位(Eh),以分析環境參數變化。數據通過統計和相關分析,探討溫度對磷遷移的機制,特別是鐵耦合作用。
測量的數據及研究意義
1 微生物活性數據:測量沉積物不同深度(0-8 mm、8-16 mm、16-24 mm)的微生物活性,使用熒光素二乙酸酯(FDA)方法。數據來自Fig.1。研究意義是顯示溫度升高顯著增強微生物活動,表明溫度通過促進微生物代謝影響磷循環,為理解生物驅動機制提供依據。

2 溶解氧(DO)和氧化還原電位(Eh)數據:使用丹麥Unisense電極測量沉積物-水界面附近的DO和Eh垂直分布。數據來自Fig.2。研究意義是揭示溫度升高降低DO滲透深度和Eh值,表明氧化條件減弱,有助于解釋磷釋放的氧化還原控制機制,特別是鐵還原過程。

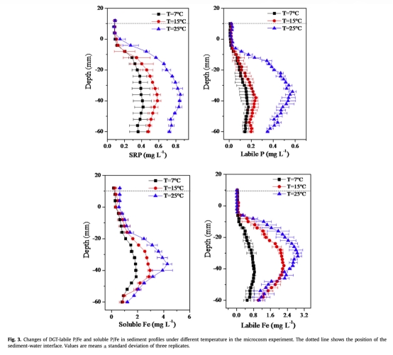
3 DGT-labile磷/鐵和可溶性磷/鐵數據:在微宇宙實驗和野外中測量沉積物剖面中的濃度分布。數據來自Fig.3和Fig.4。研究意義是直接顯示溫度升高增加磷和鐵濃度,證實鐵耦合磷遷移機制;高分辨率數據突出沉積物異質性,有助于評估磷釋放潛力。


4 比率R數據:計算DGT-labile磷與孔隙水SRP的比率(R),表示固體磷庫的再供應能力。數據來自Fig.5。研究意義是表明溫度升高增強磷的再供應,反映沉積物動態過程,對預測磷釋放速率有重要價值。

5 總結數據:包括平均濃度、峰值濃度和SRP通量等,匯總在Table 1。研究意義是量化溫度效應,顯示野外條件下磷釋放潛力更大,而微宇宙實驗中通量變化更顯著,強調環境條件差異的影響。

6 相關性數據:分析磷與鐵之間的Pearson相關系數,數據來自Table 2。研究意義是強相關性(p<0.001)驗證鐵控制磷遷移的機制,為模型開發提供基礎。

結論
1 溫度升高促進沉積物中磷的動員和釋放,在野外條件下磷釋放潛力更大(如峰值濃度增加更顯著),但微宇宙實驗中磷通量變化更明顯,可能與氧化層破壞有關。
2 磷遷移主要受鐵氧化還原循環控制,溫度通過增強微生物活動驅動鐵還原,進而釋放磷。
3 高分辨率技術揭示沉積物異質性,強調溫度效應在空間和時間上的復雜性,對湖泊管理有實際意義,如預測富營養化風險。
使用丹麥Unisense電極測量數據的研究意義
使用丹麥Unisense電極(型號OX-100和RD-100)測量溶解氧(DO)和氧化還原電位(Eh)的數據具有重要研究意義。這些電極提供高精度、實時測量,能捕捉沉積物-水界面附近的微環境變化,如DO滲透深度和Eh波動。意義在于:首先,數據直接顯示溫度升高導致DO減少和Eh降低(Fig.2),證實微生物呼吸增強和氧化條件減弱,這為理解磷釋放的氧化還原機制提供了關鍵證據;其次,高分辨率測量有助于識別氧化層厚度變化,解釋為什么微宇宙實驗中磷通量更大(因人工供氧不足),而野外自然條件維持氧化屏障;最后,Unisense電極的數據與DGT/Peeper結果結合,增強了多參數分析的可靠性,對研究沉積物生物地球化學過程具有方法論價值。