熱線:021-66110810,66110819
手機:13564362870

熱線:021-66110810,66110819
手機:13564362870
Impact of temperature and substrate concentration on degradation rates of acetate, propionate and hydrogen and their links to microbial community structure
溫度和底物濃度對醋酸鹽、丙酸鹽和氫氣降解速率的影響及其與微生物群落結構的聯系
來源:Bioresource Technology, Volume 256, 2018, Pages 44-52
《生物資源技術》,第256卷,2018年,第44-52頁
摘要:
摘要部分闡述了本研究調查了溫度(35°C和55°C)和底物濃度(醋酸鹽濃度為20、40和60 g-COD/L)對醋酸鹽、丙酸鹽和氫氣降解速率的影響,并鏈接到微生物群落結構。實驗使用咖啡粉和醋酸鹽作為底物,在連續反應器中運行193天,水力停留時間(HRT)從23天減少到7天。結果表明,高溫對丙酸鹽的產乙酸過程有正面影響,但對醋酸鹽的甲烷化影響不如中溫條件。高氫氣消耗率與非常規產甲烷菌主導相關,溶解氫在醋酸鹽反應器中過飽和。微生物分析顯示,Coprothermobacter和Syntrophaceticus是潛在的合成乙酸氧化細菌,Methanothermobacter和Methanomassiliicoccus是潛在的氫氣營養伙伴,表明醋酸鹽濃度顯著介導了醋酸鹽降解途徑。
研究目的:
研究目的是闡明溫度(35°C和55°C)和醋酸鹽濃度(20、40和60 g-COD/L)對醋酸鹽和丙酸鹽降解的影響,特別是鏈接到微生物群落結構,以增加對乙酸和丙酸鹽降解微生物在厭氧消化過程中的作用的理解,從而優化沼氣生產效率和過程穩定性。
研究思路:
研究思路基于使用連續反應器,喂食咖啡粉(代表復雜碳源)或醋酸鹽(代表單一碳源),在37°C或55°C下運行193天,HRT從23天逐步減少到7天。通過批次實驗測量醋酸鹽和丙酸鹽降解動力學、氣體和溶解氫氣消耗率,并使用微生物群落分析(如16S rRNA測序)來評估細菌和古菌組成。研究重點在于比較不同溫度和濃度下的降解速率、氫氣利用和微生物變化,以揭示影響機制。
測量的數據及研究意義:
1 數據:VFA(揮發性脂肪酸)組成和最大降解速率(Rmax),來自Fig.1。研究意義:這些數據顯示了中溫和高溫下醋酸鹽和丙酸鹽的降解動態,Fig.1a和Fig.1b展示了喂食后24小時內VFA濃度變化,表明中溫條件下醋酸鹽降解更快,而高溫下丙酸鹽降解速率更高,這有助于評估溫度對中間產物積累的影響,為優化HRT提供依據。

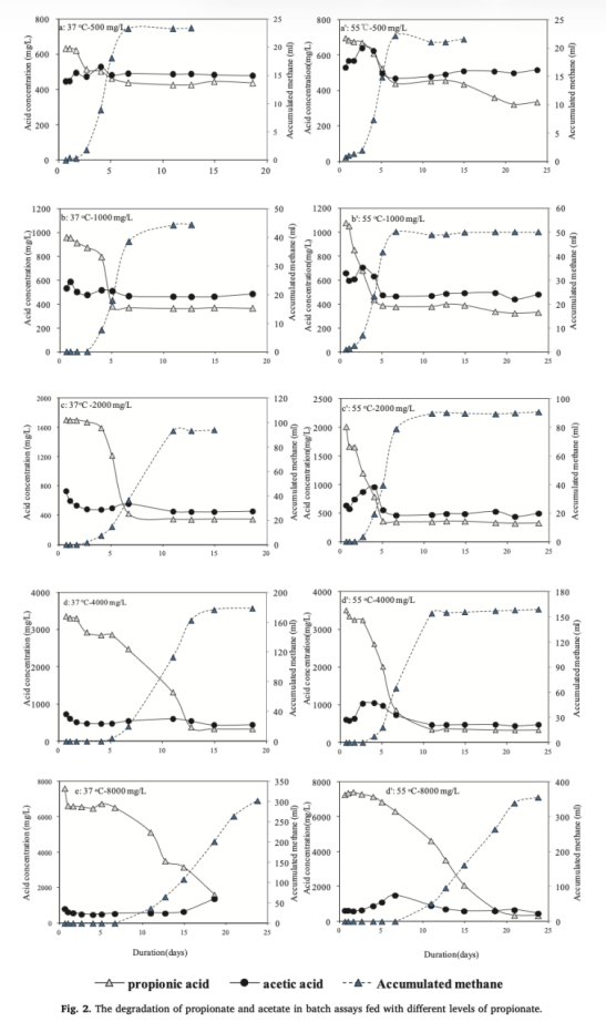
2 數據:丙酸鹽和醋酸鹽降解曲線,來自Fig.2。研究意義:Fig.2展示了不同濃度丙酸鹽喂食下醋酸鹽的生成和消耗,表明醋酸鹽是丙酸鹽降解的主要中間產物,高溫下醋酸鹽減少更快,這揭示了合成降解路徑的動力學特性,有助于理解底物濃度對代謝途徑的選擇性。

3 數據:氣體氫氣消耗率(G-H2CR)和氫氣水平,來自Fig.3和Table 3。研究意義:這些數據比較了不同反應器的氫氣消耗速率,Table 3顯示高溫和髙醋酸鹽濃度下G-H2CR更高,Fig.3可視化氫氣濃度變化,表明咖啡粉反應器有更高的氫氣利用,這關聯到合成降解的熱力學可行性,為微生物群落功能提供指標。


4 數據:溶解氫(D-H2)濃度變化,來自Fig.4,使用丹麥Unisense電極測量。研究意義:Fig.4顯示喂食后D-H2出現峰值并穩定在約400 μmol/L,表明氫氣池對氫氣營養產甲烷的作用穩定,但與G-H2CR差異無關,這突出了D-H2作為過程穩定性指標的價值,但暗示微生物結構是主要驅動因素。

5 數據:微生物群落結構,包括細菌和古菌組成,來自Fig.5和Fig.6。研究意義:Fig.5展示細菌如Coprothermobacter和Syntrophaceticus的豐度,Fig.6顯示古菌如Methanothermobacter和Methanomassiliicoccus的優勢,這直接鏈接到SAO途徑的激活,說明高醋酸鹽濃度下微生物群落適應導致途徑轉變,對設計針對性消化器有指導意義。


6 數據:動力學參數如Rmax和K值,來自Table 2。研究意義:Table 2提供了Gompertz模型和一級動力學模型的參數,顯示丙酸鹽在高溫下降解更快,而醋酸鹽在中溫下更優,這量化了溫度對降解速率的影響,為模型預測和過程優化提供基礎數據。

結論:
1 高溫對丙酸鹽的產乙酸過程有正面影響,但對醋酸鹽的甲烷化作用影響不如中溫條件,表明溫度選擇性影響不同降解步驟。
2 高氣體氫氣消耗率與非常規產甲烷菌主導相關,尤其是在高溫和高醋酸鹽濃度下,這突出了微生物群落在氫氣利用中的關鍵作用。
3 醋酸鹽濃度顯著介導了醋酸鹽降解途徑,高濃度下趨向合成乙酸氧化路徑,而低濃度下以乙酸裂解路徑為主,這為控制厭氧消化路徑提供了實踐啟示。
使用丹麥Unisense電極測量數據的研究意義:
使用丹麥Unisense電極測量溶解氫(D-H2)數據的研究意義在于,該電極通過高精度微傳感器實時監測液體中的氫氣濃度,提供了對厭氧消化過程穩定性的直接洞察。在本文中,D-H2測量顯示喂食后出現峰值(中溫約1600 μmol/L,高溫約1100 μmol/L),然后穩定在400 μmol/L左右,表明氫氣池對氫氣營養產甲烷的貢獻穩定。這種測量意義在于,D-H2作為熱力學指標,可以反映合成降解的可行性,因為低氫氣分壓是丙酸鹽和醋酸鹽氧化所必需的。然而,本研究發現D-H2水平與溫度或底物濃度無關,而G-H2CR的差異主要源于微生物結構,這表明Unisense電極數據有助于排除氫氣可用性作為限制因素,轉而強調微生物群落調控的重要性。此外,D-H2過飽和提示過程可能存在抑制,但穩定狀態表明系統適應性,這為未來研究提供了監測工具,以優化氫氣管理和提高甲烷產率。