熱線:021-66110810,66110819
手機:13564362870

熱線:021-66110810,66110819
手機:13564362870
High recycling efficiency and elemental sulfur purity achieved in a biofilm formed membrane filtration reactor
基于生物膜形成的膜過濾反應器實現高回收效率和元素硫純度
來源:Water Research, Volume 130, 2018, Pages 1-12
《水研究》第130卷,2018年,第1-12頁
摘要
這篇論文研究了一種新型生物膜形成的膜過濾反應器(BfMFR)用于從含硫化物和硝酸鹽的廢水中回收元素硫(S0)。通過使用Thauera sp. strain HDD在膜表面形成生物膜,并利用膜過濾實時分離生成的S0,實現了高S0回收效率(平均98%)和高純度。反應器在進水硫化物、硝酸鹽和乙酸濃度分別為100、120和115 mg/L,膜孔徑0.45 μm,接種量10 mL(約2.4×10^7細胞)條件下穩定運行,硫化物負荷達62.5 kg/m3·d。S0回收純度高,幾乎不含微生物、胞外聚合物或無機雜質。該方法通過原位生成和及時分離S0,避免了硫循環(S2- to S0, S0 to SO4^2-, SO4^2- to HS-),為含硫廢水處理提供了可行方案。
研究目的
本研究旨在開發一種高效回收元素硫(S0)的方法,解決傳統生物反應器中S0回收純度低、效率不高的問題。通過設計緊湊的BfMFR,實現S0的原位生成和及時分離,提高回收效率和純度,同時去除硫化物、硝酸鹽和COD。
研究思路
研究思路包括:首先,通過批次陣列實驗和立方樣條算法優化Thauera sp. strain HDD的S0生成條件,確定最佳進水濃度;其次,構建BfMFR系統,在不同操作參數(膜孔徑、進水濃度、接種量)下運行,評估S0回收效率、污染物去除率和膜污染;然后,使用掃描電鏡(SEM)、X射線光電子能譜(XPS)、X射線衍射(XRD)等分析回收S0的形貌和純度;最后,通過共聚焦激光掃描顯微鏡(CLSM)和Unisense微電極系統測量生物膜結構和活性,探討機制。
測量的數據及研究意義
1 S0生成效率數據,來自圖3。研究意義是直接評估BfMFR在不同操作條件下的S0回收性能,顯示最佳條件(膜孔徑0.45 μm)下效率達98%,證明該方法高效可行,為優化反應器設計提供依據。

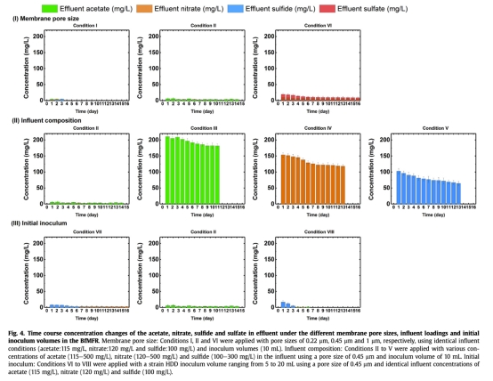
2 硫化物、硝酸鹽、乙酸濃度變化數據,來自圖4。研究意義是監控污染物去除效果,顯示BfMFR能同步去除多種污染物,硫化物和硝酸鹽去除率超95%,支持其在實際廢水處理中的應用潛力。

3 生物膜形態和結構數據,來自圖6(SEM和CLSM圖像)。研究意義是揭示生物膜隨時間的生長和膜污染過程,顯示生物膜從稀疏到成熟的變化,膜污染在12-16天完成,指導反應器維護和反洗策略優化。

4 生物膜活性數據,包括DO、pH和HS-濃度剖面,來自圖7(使用Unisense微電極測量)。研究意義是量化生物膜內微環境變化,顯示硫化物在生物膜上層(45-80 μm)被快速消耗(80.7%),pH升高表明反硝化過程,證實生物膜的高活性區域和反應機制。

結論
1 BfMFR能高效回收S0,回收效率達98%,純度顯著高于傳統反應器(如UASB),避免了微生物和雜質污染。
2 反應器在最佳參數下運行穩定,硫化物負荷高,但膜污染限制壽命至14-16天,需通過反洗等措施延長。
3 該方法通過原位分離S0中斷硫循環,為含硫廢水資源化回收提供了創新途徑。
使用丹麥Unisense電極測量數據的研究意義
使用丹麥Unisense微電極系統(型號未具體說明,但文檔提到用于測量DO、pH和HS-濃度)測量生物膜內的溶解氧(DO)、pH和硫化物(HS-)濃度剖面數據,其研究意義在于能夠以高空間分辨率(深度增量10 μm)原位監測生物膜微環境的動態變化,為理解反應機制提供直接證據。具體地,測量顯示DO在生物膜內不可檢測,證實了厭氧條件;pH從8.0升至8.7,支持反硝化過程的堿性變化;HS-濃度在生物膜表層(0-45 μm)急劇下降,表明硫化物氧化主要發生在此區域。這些數據驗證了生物膜的活性分層結構,指導了反應器操作參數優化(如接觸時間控制),并突出了Unisense電極在環境工程中用于微尺度過程研究的價值,提升了生物膜反應器的設計和性能預測能力。