熱線:021-66110810,66110819
手機:13564362870

熱線:021-66110810,66110819
手機:13564362870
Suitable flow pattern increases the removal efficiency of nitrogen in gravity sewers: a suitable anoxic and aerobic environment in biofilms
適宜的流動模式可提高重力污水中氮的去除效率生物膜中適宜的缺氧好氧環境
來源:Environmental Science and Pollution Research(2018年,卷25,頁15743-15753)
論文概述
研究了重力污水管道中生物膜對氮去除的增強潛力。通過控制剪切應力和C/N比,論文探討了生物膜內氮轉化機制,重點分析了溶解氧(DO)梯度如何創造厭氧、缺氧和好氧環境,促進硝化和反硝化過程。研究結合微電極測量和宏基因組分析,證實了管道作為反應器("sewer as a reactor")的可行性,為降低污水處理廠負荷提供了新思路。
1. 摘要核心內容
摘要指出,污水管道已證實具有碳去除功能,但如果能同步增強氮去除,將為實現“管道作為反應器”的概念奠定基礎。本研究通過實驗發現:
氮可部分去除:在管道中,氮通過一系列生物反應被部分去除。
生物膜環境關鍵:生物膜內存在的厭氧、缺氧和好氧環境,以及氮代謝相關細菌(如硝化菌和反硝化菌),共同促進硝化和反硝化過程。
基因證據:在C/N=10、剪切應力1.4 Pa的條件下,生物膜中檢測到722個氮代謝功能基因(占全部基因的0.67%),其中反硝化相關基因占主導。
摘要強調,調控水力條件(如剪切應力)可優化生物膜內DO擴散,從而增強氮去除效率,支持管道-植物聯合處理模式。
2. 研究目的
本研究的主要目的是:
評估氮去除潛力:驗證污水管道生物膜在碳去除的同時能否高效去除氮,推動“管道作為反應器”概念的應用。
識別關鍵控制因子:探究剪切應力和C/N比對生物膜內氮轉化途徑(如硝化、反硝化)的影響。
揭示機制:通過微電極技術量化生物膜內DO和氮形態(NH??、NO??、NO??、NO、N?O)的垂直分布,闡明環境梯度與微生物活動的耦合關系。
提供管理啟示:為減少污水處理廠負荷、降低投資和運營成本提供科學依據。
3. 研究思路
研究采用了實驗模擬與多尺度測量相結合的方法:
實驗系統設計:使用有機玻璃反應器模擬污水管道(圖1),通過磁力攪拌器控制剪切應力(1.15、1.4、2.0 Pa),合成廢水調控C/N比(2、5、10)。

生物膜培養與測量:在25°C下培養生物膜至成熟(約45天),定期測量厚度使用微電極平臺。
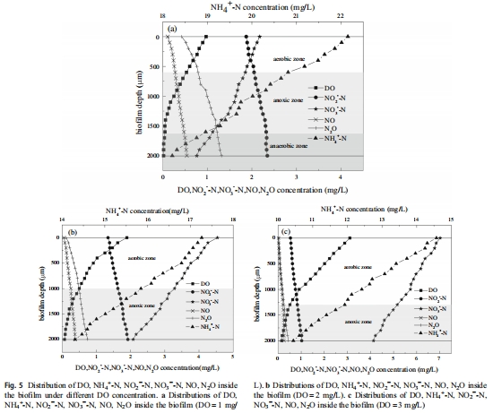
微電極原位測量:使用丹麥Unisense微電極系統(OX-10 DO電極、自制NH??、NO??、NO??離子選擇電極)測量生物膜內DO和氮形態的垂直剖面(分辨率~1mm),數據通過Sensor Trace Pro軟件采集(圖3、4、5)。



宏基因組分析:對生物膜樣本進行高通量測序(Illumina平臺),鑒定氮代謝功能基因和微生物群落結構(圖6、7)。


水質分析:按標準方法測量進出水COD、NH??-N、NO??-N、NO??-N、TN濃度(圖2b、4a)。

4. 測量數據、來源及其研究意義
本研究測量了多維度數據,其具體來源和科學意義如下:
生物膜厚度動態(來自 圖2a):
數據:厚度隨剪切應力增加而減小(1.15 Pa: 2.3±0.1 mm; 1.4 Pa: 1.9±0.1 mm; 2.0 Pa: 1.6±0.1 mm);隨C/N比增加而增大(C/N=2: 1.7 mm; C/N=5: 1.9 mm; C/N=10: 2.0 mm)。
研究意義:量化水力條件對生物膜結構的影響。剪切應力增強導致膜變薄,利于物質擴散;C/N比提高促進異養菌生長,增加膜厚。這為優化生物膜棲息地提供參數。
氮去除效率數據(來自 圖2b、4a):
數據:TN去除率隨剪切應力變化(1.15 Pa: 55.1%; 1.4 Pa: 62%; 2.0 Pa: 43.67%);COD去除率隨C/N比提高而增加(C/N=2: 43.33%; C/N=5: 78.67%; C/N=10: 87.67%)。
研究意義:證實剪切應力是氮去除主導因子。適度剪切(1.4 Pa)實現最高TN去除,而過高剪切(2.0 Pa)因全好氧環境抑制反硝化。C/N比影響碳源可用性,調控微生物競爭。
生物膜內化學梯度數據(來自 圖3、4、5):
數據:DO隨生物膜深度增加而降低(如1.4 Pa下,表層1.96 mg/L降至底層0.09 mg/L);NH??濃度遞減;NO??在低剪切下遞減,但在2.0 Pa下遞增;NO??在深層積累。
研究意義:揭示分層環境驅動氮轉化。DO梯度創造好氧(表層,硝化主導)、缺氧(中層,反硝化)和厭氧(底層)區,支持同步硝化反硝化(SND)。數據直接驗證了環境異質性對氮循環的調控。
宏基因組數據(來自 圖6、7):
數據:檢測到722個氮代謝基因(占0.67%),以反硝化基因為主(350個);優勢菌門為Proteobacteria和Bacteroidetes。
研究意義:從分子層面證實生物膜氮代謝潛力。反硝化基因優勢解釋了下層NO??還原現象,宏基因組數據將生理觀測與微生物功能鏈接,增強了機制解釋的可靠性。
5. 主要結論
論文得出以下核心結論:
管道可實現氮去除:生物膜通過硝化-反硝化途徑去除部分氮(TN去除率最高62%),支持管道作為反應器的概念。
剪切應力是關鍵調控因子:適度剪切(1.4 Pa)優化DO擴散,創造好氧/缺氧分層環境,促進氮去除;過高剪切(2.0 Pa)導致全好氧,抑制反硝化。
C/N比影響碳源競爭:高C/N比(10)增強COD去除,但可能稀釋氮濃度,需平衡碳氮比。
微生物功能驅動過程:生物膜富含氮代謝基因(尤其是反硝化基因),微生物群落結構適應環境梯度。
管理啟示:調控管道水力條件(如流速)可增強氮去除,降低污水處理廠負荷,實現節能降耗。
6. 詳細解讀:使用丹麥Unisense電極測量數據的研究意義
在本研究中,丹麥Unisense公司的微電極系統被用于關鍵的原位測量,這些數據在方法部分(2.2節)描述并生成圖3、4、5的化學剖面。
測量數據:Unisense微電極包括DO電極(OX-10,尖端直徑10μm)和自制離子選擇電極(NH??、NO??、NO??),以高空間分辨率(微米級)測量了生物膜內DO和氮形態的垂直分布。電極響應時間短(DO<3秒,離子電極<10秒),確保實時動態捕獲。
詳細研究意義解讀:
提供高分辨率原位化學梯度數據:Unisense微電極的毫米級分辨率使能精確解析生物膜內的化學分層。例如,圖3a顯示DO從表層~2 mg/L降至底層近0 mg/L,直接證實了好氧-缺氧-厭氧微環境的形成。這種原位實時測量避免了取樣擾動,提供了真實的生物膜生理狀態,是理解氮轉化機制的基礎。
量化物質擴散與反應耦合:通過剖面數據,計算了DO和氮物種的擴散-反應通量。例如,NO??在2.0 Pa下隨深度增加(圖3c),表明高剪切促進DO滲透,抑制反硝化。微電極數據使能應用菲克定律量化傳輸速率,鏈接物理(剪切)與生物過程。
驗證環境梯度驅動氮轉化:數據直接顯示NH??消耗和NO??/NO??生成與DO梯度同步(圖4、5)。在缺氧區(DO<0.5 mg/L),NO??積累表明部分反硝化,而好氧區硝化活躍。這證實了生物膜內同步硝化反硝化(SND)的可行性,為優化管道運行提供理論依據。
支持剪切應力效應機制:微電極數據顯示,剪切應力增加提升DO滲透深度(2.0 Pa時DO可達底層),但過高的DO消除缺氧區,反而不利反硝化(圖3a)。這揭示了剪切應力通過調控DO擴散間接影響氮去除的機制,而非直接作用于微生物。
校準和驗證模型:高分辨率剖面用于校準反應-擴散模型(如雷諾類比方程),幫助預測不同水力條件下氮去除潛力。例如,數據驗證了DO濃度與反硝化率的負相關,支持管理策略模擬。
技術優勢與應用價值:Unisense電極的高靈敏度、快速響應和低擾動性使其適合生物膜這種脆弱環境。研究展示了在模擬管道中成功部署的能力,為實際管道監測提供了方法論范例。這突出了原位傳感技術在環境工程研究中的關鍵作用。
局限性與補充:微電極測量點有限,需結合宏基因組(圖6、7)全面理解微生物功能。但若無微電極數據,宏基因組結果無法與具體環境條件關聯,機制解釋將缺乏空間維度。
綜上所述,Unisense微電極在本研究中扮演了 “生物膜化學顯微鏡”的角色。其提供的高分辨率DO和氮剖面不僅是描述性參數,更是量化梯度、揭示SND機制、驗證剪切應力效應和校準模型的核心證據。沒有這些數據,研究無法建立水力條件-化學環境-微生物活動的因果鏈,結論的深度和說服力將顯著降低。這項工作強調了原位微電極技術在城市水系統生物地球化學研究中的不可替代性,尤其對于優化管道設計和運行以實現資源回收。