熱線:021-66110810,66110819
手機:13564362870

熱線:021-66110810,66110819
手機:13564362870
Electrodes Donate Electrons for Nitrate Reduction in a Soil Matrix via DNRA and Denitrification
電極通過DNRA和反硝化在土壤基質中捐贈電子用于硝酸鹽還原
來源:Environmental Science & Technology, Volume 53, 2019, Pages 2002-2012
《環境科學與技術》,第53卷,2019年,2002-2012頁
摘要:
摘要部分指出,微生物和土壤基質中的本土微生物群可以利用電極捐贈的電子進行硝酸鹽還原。本研究探討了電勢處理對土壤基質中硝酸鹽還原的影響。結果顯示,與對照相比,施加-0.5V電勢顯著提高了硝酸鹽還原微生物的相對豐度和功能基因豐度,使硝酸鹽還原速率加倍,并增加了銨、氮氣和氧化亞氮的產生速率。電勢處理促進了反硝化和異化硝酸鹽還原為銨兩種途徑,且在開放空氣中可影響至少38厘米的空間尺度。這些機制為開發減少硝酸鹽淋溶風險的技術提供了啟示。
研究目的:
研究目的包括驗證兩個假設:一是施加電勢會增強土壤基質中的微生物硝酸鹽還原;二是DNRA與反硝化的分配比例會從工作電極到對電極逐漸減少。旨在探究電勢處理對硝酸鹽還原途徑、微生物群落和功能基因的影響,并為發展原位修復技術提供基礎。
研究思路:
研究思路通過密封培養和開放空氣實驗進行。在密封實驗中,土壤樣品暴露于-0.5V電勢下,監測硝酸鹽、亞硝酸鹽、銨、N2O和N2的濃度動態,并分析微生物群落結構、功能基因豐度以及空間分布參數如溶解氣體和pH。開放空氣實驗評估了電勢處理在更大空間尺度上的效果。使用電化學測量、分子生物學技術和微電極傳感器收集數據,并通過統計分析和模型驗證假設。
測量的數據及研究意義:
1. 硝酸鹽、亞硝酸鹽、銨、N2O和N2濃度動態:這些數據用于量化硝酸鹽還原速率和產物分配,研究意義在于直接驗證電勢處理對反硝化和DNRA途徑的增強作用,表明電子捐贈促進了氮轉化。數據來自Figure 1和Table 1。


2. 微生物群落相對豐度和功能基因 abundances:測量了典型硝酸鹽還原微生物如Alcaligenaceae和Pseudomonadaceae的相對豐度,以及nrfA、nirK、nirS和nosZ基因的豐度。研究意義在于揭示電勢處理如何富集電活性微生物并影響基因表達,從而解釋電子利用的分子機制。數據來自Figure 2。

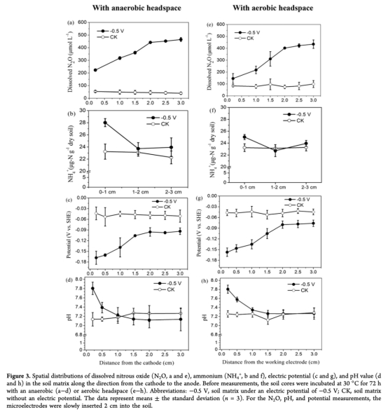
3. 空間分布參數包括溶解N2O、O2、H2濃度、pH和電勢:這些數據用于評估電勢梯度下的微觀變化,研究意義在于闡明電子轉移的空間異質性,以及其對硝酸鹽還原途徑分配的影響,如DNRA在電極附近更顯著。數據來自Figure 3。

4. 開放空氣中的硝酸鹽濃度、N2O通量和銨濃度動態:測量了不同距離下的參數,研究意義在于證明電勢處理在實地條件下的可行性,顯示其可促進硝酸鹽還原并影響溫室氣體排放,為環境應用提供依據。數據來自Figure 4。

結論:
研究得出結論,施加-0.5V電勢能有效增強土壤基質中的硝酸鹽還原,通過反硝化和DNRA途徑進行,并受電子可用性影響。電勢處理富集了電活性微生物,提高了功能基因豐度,導致硝酸鹽還原速率加倍和N2O排放增加。空間尺度上,效應可達38厘米,但DNRA分配隨距離電極而減少。這表明電極可作為電子供體緩解土壤中電子 donor 短缺問題,具有減少硝酸鹽淋溶的潛力,但需優化以平衡能效和環境影響。
使用丹麥Unisense電極測量數據的研究意義:
使用丹麥Unisense電極測量了溶解N2O、O2、H2濃度和pH值,這些數據具有重要研究意義。Unisense電極提供高精度、實時和空間分辨的測量,能夠捕捉土壤基質中微觀尺度的氣體和化學梯度。例如,通過測量溶解N2O濃度,研究人員直接量化了反硝化過程中溫室氣體的產生動態,揭示了電勢處理如何增加N2O排放。同時,O2和H2的測量幫助排除了水電解產氫的干擾,確認電子主要通過直接轉移或電子穿梭體傳遞給微生物。pH值的空間數據輔助解釋了環境因素對微生物活性的影響,如pH變化與基因豐度的關聯??傮w而言,Unisense電極的數據增強了機制研究的可靠性,為理解電子捐贈過程中的空間異質性和途徑競爭提供了關鍵證據,支持了電勢處理在環境修復中的應用評估。