熱線:021-66110810,66110819
手機:13564362870

熱線:021-66110810,66110819
手機:13564362870
Electrosynthesized nanostructured polypyrrole on selective laser melted titanium scaffold
在選擇性激光熔化鈦支架上電合成納米聚吡咯
來源:Surface & Coatings Technology(2019年,第370卷)
論文總結
研究通過電聚合法在選擇性激光熔化(SLM)制備的三維多孔鈦支架上合成納米纖維聚吡咯(PPy),重點分析了三維結構對電聚合過程中電位分布、PPy成核生長機制及最終涂層電化學性能的影響。以下是對論文的詳細總結。
摘要概括
摘要指出,人工骨支架因其獨特的三維多孔結構在骨科臨床中廣泛應用,而多孔鈦因其穩定的生物學特性和生物力學相容性備受關注。本研究在三維SLM-Ti支架表面電聚合制備了納米纖維PPy涂層。原位測量顯示,由于PPy的導電性,6.2 mm厚多孔SLM-Ti樣品內部的電位變化僅為20 mV。SEM表征表明,由于多孔電極內部有效過電位和電流較低,內部深度處合成的PPy納米纖維直徑和厚度均小于外表面。對比電化學測量發現,三維SLM-Ti電極上PPy聚合的成核和生長速率慢于二維電極。盡管多孔支架上合成的納米纖維PPy膜可逆性和長期穩定性較差,但其超高比表面積具有增強電化學活性的巨大潛力。本研究為理解PPy在三維SLM-Ti支架上的電聚合機制提供了基礎視角。
研究目的
本研究旨在解決以下核心問題:
探究在復雜三維多孔鈦支架(而非傳統二維平面)上電聚合納米結構PPy的可行性。
分析三維多孔結構內部的電位和電流分布特性,及其對PPy成核、生長和最終形貌的影響。
比較二維(致密片材)和三維(多孔支架)SLM-Ti基底上PPy涂層的電化學性能(可逆性、穩定性)。
為開發用于骨組織工程的高活性、生物相容性導電涂層提供理論基礎和技術支持。
研究思路
研究采用“制備-表征-性能對比”的系統策略:
基底制備:使用選擇性激光熔化技術制備三維多孔鈦支架(3.2 mm × 3.2 mm × 6.2 mm,孔徑800 μm,孔隙率85.3%)和二維致密鈦片作為對比。
電聚合過程:在含吡咯單體和支持電解質的磷酸鹽緩沖液中,采用恒電流法(0.9 mA/cm2)在SLM-Ti基底上電聚合PPy。
原位電位分布測量:使用丹麥Unisense微參比電極(尖端直徑10 μm)實時掃描測量多孔支架內部不同深度(上表面和底部)的電位變化。
形貌與結構表征:利用掃描電子顯微鏡觀察PPy納米纖維在支架內外表面的形貌、直徑和厚度差異。
電化學性能評估:通過循環伏安法、計時電流法等分析PPy的成核生長機制、可逆性和長期循環穩定性。
機理分析:結合電位分布和形貌數據,闡釋三維結構對電聚合過程的影響機制。
測量數據及其研究意義
以下列出關鍵測量數據、其來源(圖編號)及研究意義:
支架結構與形貌數據(來源:Fig. 1)

數據:CAD模型和實物照片顯示SLM-Ti支架具有規則的三維多孔結構。
研究意義:證實SLM技術可精確制備復雜三維支架,為后續電聚合提供理想基底。
內部電位分布數據(來源:Fig. 2)

數據:Unisense微電極測量顯示,在1.1 A/cm2電流密度下,6.2 mm厚支架內部電位差僅約20 mV;在0.8-1.0 A/cm2范圍內,電位差約10 mV。
研究意義:微小電位變化表明PPy的導電性有助于均勻電場分布,避免內部金屬過早氧化,確保吡咯在深層也能有效聚合。
PPy納米纖維形貌數據(來源:Fig. 3)

數據:SEM顯示外表面PPy納米纖維更粗、更厚,而內表面纖維更細、更薄。
研究意義:直接證明內部電流密度較低導致PPy生長速率慢,形貌差異反映三維空間內非均勻的電化學環境。
成核生長動力學數據(來源:Fig. 4)

數據:計時電流曲線顯示,致密鈦片上PPy在約10秒達到最大電流(i_max),而多孔支架需約40秒;無量綱曲線分析表明致密基底符合瞬時成核模型,多孔基底符合漸進成核模型。
研究意義:三維結構延長成核時間,漸進成核機制更易形成細晶微觀結構,解釋了內部PPy纖維更細的原因。
電聚合過程循環伏安數據(來源:Fig. 5)

數據:致密基底電流密度更高;首圈掃描出現電流交叉現象,表明三維成核發生。
研究意義:證實二維和三維基底聚合路徑相同,但多孔結構整體電流密度低,生長速率慢。
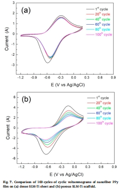
可逆性與穩定性數據(來源:Fig. 6, 7)


數據:多孔支架上PPy的氧化還原峰電位偏移更大(ΔE增加),100次循環后峰值電流衰減更明顯。
研究意義:三維支架上PPy可逆性差、穩定性低,歸因于非均勻形貌和多孔結構阻礙離子擴散;但其絕對電流值仍與二維樣品初始值相當,超高比表面積預示高活性潛力。
研究結論
本研究得出以下核心結論:
成功實現三維支架PPy電聚合:在SLM-Ti多孔支架內外表面均勻合成了納米纖維PPy涂層,證實三維電化學修飾的可行性。
電位分布均勻性關鍵:PPy自身導電性補償了內部電阻,使6.2 mm厚度內電位變化極小(≤20 mV),為深層均勻聚合提供條件。
成核生長機制差異:三維支架上PPy遵循漸進成核模型,生長速率慢于二維基底,導致內部纖維更細。
性能權衡:多孔支架PPy涂層可逆性和循環穩定性較差,但超高比表面積賦予其更高的電化學活性潛力。
優化方向:通過增強傳質(如攪拌)或進一步降低電位變化,可改善三維支架上PPy涂層的均勻性和穩定性。
丹麥Unisense電極測量數據的詳細解讀
在本研究中,丹麥Unisense微參比電極(型號REF-10,Ag/AgCl,尖端直徑10 μm)用于實時、原位測量多孔SLM-Ti支架內部的電位分布,其研究意義主要體現在:
高空間分辨率測量:Unisense電極的微米級尖端(10 μm)可直接插入多孔支架內部(測量點示意見Fig. 2b),在不擾動體系的情況下,精準定位并測量不同深度(如上表面、底部)的瞬時電位,這是傳統宏觀電極無法實現的。
揭示內部電化學環境:數據(Fig. 2a)顯示,即使在高電流密度(1.1 A/cm2)下,支架內部電位梯度也很小(約20 mV)。這一關鍵證據表明,PPy在聚合過程中形成的導電網絡有效降低了體系的歐姆降,保證了電流能夠滲透至支架深層。
驗證均勻聚合可能性:微小電位差意味著支架內部各點驅動吡咯聚合的過電位差異不大,從熱力學上解釋了為何能在整個三維空間內實現PPy的沉積(SEM形貌證實,Fig. 3),避免了因電位驟減導致的內部聚合失敗或金屬基底腐蝕。
量化過程優化參數:電位差隨電流密度變化的數據(0.8-1.0 A/cm2時僅10 mV)為選擇最佳聚合參數提供了依據,避免使用過高電流導致不必要的能量消耗或副反應。
技術優勢支撐可靠性:Unisense系統的實時監測能力捕獲了電位隨時間的變化(Fig. 2a),證明電位分布穩定,不隨聚合時間延長而惡化,得益于PPy的持續導電性。這種原位、動態測量為機理研究提供了直接證據。
研究意義延伸:Unisense數據是連接“三維結構”與“電化學性能”的核心橋梁。它證實了在復雜多孔體系中實現均勻電化學修飾的物理基礎,為后續設計更高效的三維電極體系(如組織工程支架、電池電極)提供了重要的方法論和參數指導。沒有這些高分辨率電位數據,對三維電聚合機制的理解將停留在推測層面。
總之,丹麥Unisense電極數據是本研究的基石,通過提供原位、高精度的電位分布信息,它直接證實了PPy導電網絡對均勻電場的關鍵作用,為理解和優化三維基底上的電化學沉積過程提供了不可替代的實驗證據。