熱線:021-66110810,66110819
手機:13564362870

熱線:021-66110810,66110819
手機:13564362870
Different ferric dosing strategies could result in different control mechanisms of sulfide and methane production in sediments of gravity sewers
不同的鐵投加策略可導致重力式下水道沉積物中硫化物和甲烷生成的不同控制機制
來源:Water Research 164 (2019) 114914
論文摘要
本研究探討了在重力排水管道沉積物中,采用不同的三價鐵(Fe3?)投加策略(不同瞬時投加量和頻率)對控制硫化物(H?S)和甲烷(CH?) 產生的效果及其內在機制。研究發現,雖然所有Fe3?投加策略都能在短期內有效抑制硫化物濃度,但其控制機制截然不同。采用低劑量、高頻率的策略時,Fe3?無法滲透到沉積物深層,因此對硫酸鹽還原菌(SRB)和產甲烷古菌(MA)的活性沒有顯著抑制,硫化物主要通過化學氧化和沉淀被去除,甲烷產生不受影響。而采用高劑量、低頻率的策略時,Fe3?能滲透并顯著抑制表層沉積物中SRB和MA的活性,使產硫區向深層移動,并部分抑制(21%)甲烷的產生。
研究目的
本研究的主要目的是:
探究不同的Fe3?投加策略(不同劑量和頻率)對重力排水管道沉積物中硫化物和甲烷產生的控制效果。
分析不同策略對沉積物不同深度的硫酸鹽還原菌(SRB)和產甲烷古菌(MA)的抑制效果。
闡明不同Fe3?投加策略下,控制硫化物和甲烷產生的內在機制。
為實踐中優化鐵鹽投加策略以控制管道惡臭和腐蝕提供理論依據。
研究思路
本研究采用了 “實驗室規模模擬反應器”與“多維度分析” 相結合的研究思路:
實驗設計:建立三個平行的實驗室規模排水管道沉積物反應器(R1, R2, R3),其中R2作為空白對照。在R1和R3中分別施加不同的FeCl?投加策略(詳見表1),進行長期(212天)運行。

多維度分析:在實驗結束后,綜合運用多種技術進行分析:
化學監測:定期檢測反應器出水中硫化物、硫酸鹽、甲烷、化學需氧量(COD)等濃度的變化。
丹麥Unisense微電極分析:測量沉積物剖面中溶解性總硫化物、pH和氧化還原電位(ORP) 的微尺度分布。
微生物群落分析:通過高通量測序,分析沉積物上、中、下三層中SRB和MA的群落結構和豐度。
測量數據及其研究意義(注明來源)
本研究測量了多方面的數據,其意義和來源如下:
出水硫化物和甲烷濃度:
意義:直接評估不同Fe3?投加策略的實際控制效果。數據顯示,所有策略都能快速降低硫化物濃度,但只有高劑量策略能部分抑制甲烷產生。


來源:出水硫化物濃度變化見圖2;出水甲烷濃度變化見圖3b。
沉積物內部化學微環境(硫化物、ORP剖面):
意義:這是理解控制機制的關鍵。剖面數據直觀揭示了Fe3?投加策略如何改變沉積物內部的氧化還原狀態和生物化學反應區帶。

來源:沉積物剖面中總溶解性硫化物和ORP的分布見圖4a和4b。
微生物群落結構和豐度:
意義:從生物學角度解釋控制機制的差異。結果顯示,高劑量策略顯著改變了表層沉積物中SRB和MA的豐度和空間分布。


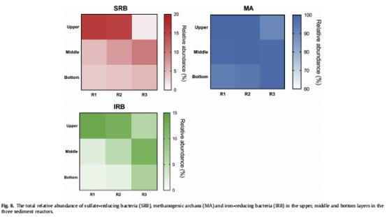
來源:屬水平細菌群落(包括SRB)的熱圖見圖7;SRB、MA和鐵還原菌(IRB)在各層總相對豐度見圖8。
研究結論
有效性:所有測試的Fe3?投加策略都能有效(>90%)控制排水管道中的硫化物濃度。
機制差異:控制機制因策略而異。低劑量、高頻率策略主要通過化學作用(Fe3?與H?S反應生成FeS和單質S)在污水水體中去除硫化物,不抑制微生物活性。高劑量、低頻率策略則主要通過生物抑制作用,抑制表層沉積物中SRB和MA的活性,同時伴隨化學作用。
微生物響應:高劑量策略迫使產硫區從表層(0-5毫米)轉移至深層(20-25毫米),并部分抑制了甲烷的產生(降低21%)。
實踐啟示:在Fe/S摩爾比一定的情況下,低劑量、高頻率的Fe3?投加策略對于控制重力排水管道中的硫化物是更具成本效益的選擇,尤其在不需考慮甲烷減排時。高劑量策略會導致大量鐵鹽沉積在管道中,增加維護成本。
使用丹麥Unisense電極測量數據的研究意義詳細解讀
在本文中,丹麥Unisense公司的微電極系統被用于測量沉積物剖面中溶解性總硫化物、pH和氧化還原電位(ORP) 的垂直分布,分辨率高達0.5毫米(數據見圖4)。
詳細研究意義如下:
提供高分辨率空間證據,揭示機制差異的核心:Unisense微電極提供的毫米級分辨率數據,是區分兩種控制機制的決定性證據。對于低劑量策略,硫化物剖面(圖4a 中R1)顯示,沉積物表層仍存在明顯的硫化物產生區(0-5毫米),且ORP剖面(圖4b 中R1)與對照組(R2)相似。這直接證明了Fe3?未能有效滲透到沉積物中,其作用僅限于與水相中的硫化物發生化學反應。對于高劑量策略,硫化物剖面(圖4a 中R3)清晰顯示,在沉積物表層(0-20毫米)幾乎檢測不到硫化物,產硫峰面下移至20-25毫米深處。同時,ORP剖面(圖4b 中R3)顯示表層ORP值急劇升高(約+700 mV)。這為“Fe3?滲透入沉積物表層并創造氧化性環境,從而抑制了該區域SRB活性”的結論提供了最直觀、最有力的原位證據。
定量化Fe3?的滲透深度和影響范圍:微電極數據不僅是定性的(產硫區下移了),更是定量的。它精確地顯示出高劑量Fe3?的影響深度大約在20毫米處。這解釋了為何甲烷產生只被部分抑制(21%),因為產甲烷古菌(MA)主要棲息在沉積物更深處,該區域的ORP并未被顯著改變(圖4b 中20-30毫米深處,R3的ORP僅略高于R2)。這將化學投加與微生物響應在空間上直接關聯起來。
支撐整個研究的核心結論:Unisense微電極獲得的高分辨率空間數據,是整個研究邏輯鏈條的基石。它將宏觀的出水濃度數據(圖2, 圖3)與微觀的微生物群落數據(圖7, 圖8)完美地連接起來。整個機理鏈條可簡述為:高劑量Fe3?投加 → Fe3?滲透至沉積物表層 → 表層ORP顯著升高(由Unisense電極證實)→ 表層SRB和MA活性被抑制 → 產硫區下移(由Unisense電極證實)→ 表層微生物群落結構改變 → 硫化物控制主要通過生物抑制,甲烷產生部分抑制。
綜上所述,使用Unisense微電極獲得的化學微環境剖面數據,為本研究揭示不同鐵鹽投加策略背后截然不同的物理化學-生物學耦合機制提供了無可替代的高精度空間證據,使研究結論深刻而可靠,對工程實踐具有明確的指導意義。