熱線:021-66110810,66110819
手機:13564362870

熱線:021-66110810,66110819
手機:13564362870
CO2 influence on oxygen dynamics and net primary production of the microphytobenthos: an experimental approach
二氧化碳對底棲微藻氧動力學和凈初級生產力的影響:實驗研究
來源:Journal of Research in Ecology, (2020) ,Volume 8, Issue 1, Pages 2702-2712
《生態學研究雜志》2020年,第8卷第1期,第2702–2712頁
摘要
摘要指出底棲微藻和藍藻在淺水生態系統中具有重要生產力,但其碳限制機制研究不足。實驗通過控制覆水層上方空氣中CO?濃度(0–5000 ppm),結合丹麥Unisense微電極原位測量沉積物氧剖面,發現:高CO?(5000 ppm)使凈初級生產力(NPP)提升5倍,氧滲透深度增加;完全移除CO?時NPP歸零,氧梯度呈線性下降。總光合產氧量(GOP)對CO?變化響應微弱,表明光合電子流從碳固定轉向光呼吸。該結果預示大氣CO?濃度升高將顯著提升淺水/潮間帶生態系統生產力。
研究目的
1. 驗證大氣CO?濃度變化對底棲微藻氧動力學和凈初級生產力(NPP)的影響機制
2. 探究CO?限制條件下光合電子流的重新分配過程(碳固定 vs 光呼吸)
3. 評估大氣CO?上升對淺水生態系統生產力的潛在影響
研究思路
1. 實驗設計:采集巴西Visgueiro潟湖(鹽度57.4)底棲微藻群落(硅藻+微鞘藻),置于2 mm薄水層覆蓋的實驗艙內(圖2),精確控制空氣中CO?濃度梯度(0/100/380/2000/5000 ppm)

2. 原位監測:
? 氧剖面:Unisense OX-50微電極(25 μm尖端,響應時間<4秒)以50 μm步進測量沉積物氧垂直分布(圖3)

? 總光合產氧(GOP):光-暗切換后1–2秒內氧濃度線性下降速率(圖4)

? 凈初級生產力(NPP):PROFILE模型解析氧剖面計算(圖3)
3. 參數整合:對比不同CO?濃度下氧滲透深度、NPP、GOP及呼吸速率的關聯(圖5)

測量的數據及研究意義
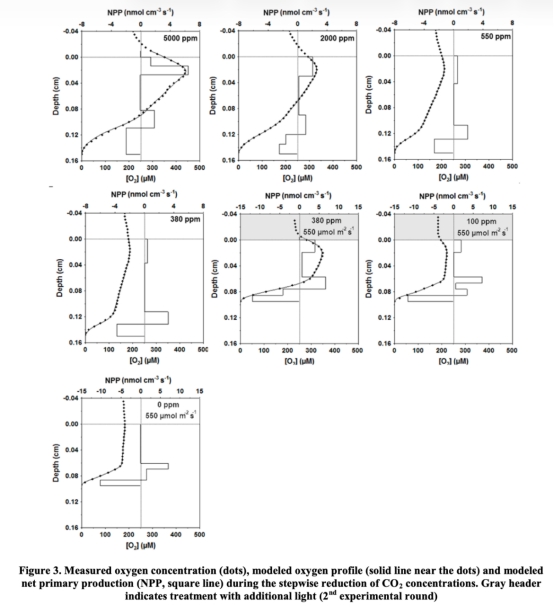
1. 沉積物氧剖面(圖3)
? 數據:不同CO?濃度下0–0.16 cm深度氧濃度分布
? 意義:直接揭示CO?對氧滲透深度的控制——5000 ppm時氧達430 μM(深度>0.08 cm),0 ppm時僅190 μM(深度<0.04 cm),證明CO?增加促進深層光合作用
2. 總光合產氧(GOP)垂直分布(圖4)
? 數據:光暗切換后1–2秒內氧濃度下降速率(nmol cm?3 s?1)
? 意義:GOP在0 ppm CO?時仍維持高值(約3 nmol cm?3 s?1),表明光合機構活性未受抑制,電子流向光呼吸
3. 生產力參數整合(圖5)
? 數據:0–0.04 cm層NPP、呼吸、GOP的深度積分值
? 意義:5000 ppm時NPP≈GOP(呼吸僅占3%),380 ppm時呼吸消耗70% GOP,證實CO?充足時碳固定效率顯著提升
結論
1. CO?濃度控制NPP而非GOP:5000 ppm CO?使NPP提升5倍,但GOP對CO?變化不敏感(圖4/圖5)
2. 光合電子流重分配:CO?匱乏時(<380 ppm),電子流從碳固定轉向光呼吸維持GOP
3. 雙峰生產層:氧剖面揭示0.04 cm和0.08 cm處存在兩個NPP峰值(圖3),反映底棲群落垂直異質性
4. 氣候關聯:大氣CO?濃度上升(現約420 ppm)將顯著增強淺水生態系統初級生產力
使用丹麥Unisense電極測量數據的研究意義
丹麥Unisense微電極系統(OX-50傳感器+電機驅動微操縱器)的應用提供以下不可替代的研究價值:
1. 亞毫米級時空分辨率:
? 50 μm步進測量(圖3)捕捉沉積物內0.08–0.16 cm的氧梯度劇變,揭示CO?對光合作用深度的控制
? 秒級響應(<4秒)實現光-暗切換后1–2秒內的GOP精準測量(圖4),規避傳統方法的時間滯后
2. 非破壞性原位監測:
? 薄水層(2 mm)模擬自然條件,電極穿透覆水膜直接測量沉積物剖面(圖2),保持微生物群落完整性
? 同一位點連續監測(30–60分鐘穩態建立),規避空間異質性干擾
3. 機制解析關鍵工具:
? GOP與NPP的解耦數據(圖4 vs 圖3)直接驗證"電子流重分配"假說
? 氧滲透深度量化(0.04 cm→0.08 cm)證實高CO?促進深層Rubisco活性
4. 生態預測基礎:
? 建立CO?濃度-NPP定量關系(如380→5000 ppm提升5倍),支撐大氣CO?上升對淺水生產力的正向效應預測