熱線:021-66110810,66110819
手機:13564362870

熱線:021-66110810,66110819
手機:13564362870
Greywater: Understanding biofilm bacteria succession, pollutant removal and low sulfide generation in small diameter gravity sewers
灰水:小口徑重力下水道中生物膜細菌演替、污染物去除及低硫化物生成的理解
來源:Journal of Cleaner Production, Volume 268, 2020, Article 122426
《清潔生產雜志》,第268卷,2020年,文章編號122426
摘要
本研究探討了采用小口徑重力下水道(SDGS)單獨收集灰水(生活廢水中除廁所污水外的部分)時,其生物膜內的細菌特性、污染物去除能力及硫化物生成情況。通過運行SDGS反應器并結合定量聚合酶鏈反應(qPCR)和高通量測序技術,進行了為期90天的研究。結果表明,灰水SDGS生物膜的厚度(主要在1040-2120μm之間)、細菌數量(約4×10^8 個細胞/cm2)、細菌群落及功能菌分布均呈現規律性變化。變形菌門(Proteobacteria)和擬桿菌門(Bacteroidetes)是優勢菌門,假單胞菌屬(Pseudomonas)和腸桿菌屬(Enterobacter)豐度相對穩定。硫酸鹽還原菌(SRB)和反硝化細菌(DNB)存在于生物膜中,SRB數量不依賴于溶解氧濃度,而與生物膜厚度呈線性關系。灰水SDGS能夠穩定降低化學需氧量(COD),但對氮磷的去除效果不穩定。研究證實,灰水SDGS產生的硫化物濃度極低(<0.08 mg L?1 km?1),這對下水道的運行維護非常有利。本研究深入分析了灰水SDGS中的細菌群落和污染物去除情況,并確認了其低硫化物生成的特性,有助于下水道系統的可持續發展。
研究目的
本研究旨在探究利用小口徑重力下水道(SDGS)單獨收集灰水時,其系統內生物膜的細菌群落演替規律、對污染物的去除能力,以及硫化物生成的特征和強度,以評估灰水SDGS系統在污染物預處理和避免下水道腐蝕方面的潛力。
研究思路
1. 系統構建與運行:搭建5個串聯的實驗室尺度反應器(G1-G5)來模擬長達1000米的灰水SDGS系統,并連續運行90天。
2. 水質與生物膜表征:定期監測灰水水質(DO、pH、COD、TN、NH??-N、TP、硫酸鹽、硫化物)和生物膜物理參數(厚度、細菌總數)。
3. 微生物群落分析:運用qPCR技術定量分析生物膜中的總細菌、SRB和DNB的絕對數量;利用Illumina高通量測序技術解析細菌群落的組成、多樣性和演替規律。
4. 功能與性能關聯:將微生物群落結構、功能菌數量與系統的污染物(COD、N、P)去除效率及硫化物生成量進行關聯分析,闡明其內在聯系。
測量的數據及研究意義
1. 生物膜厚度與細菌總數(來自圖2):生物膜厚度在90天內呈現周期性變化,細菌數量穩定在約4×10^8 cells/cm2。該數據揭示了灰水SDGS中生物膜獨特的生長動力學(非傳統穩定增厚),為其獨特的微環境提供了物理基礎。

2. 細菌群落結構與演替(來自圖3a, b): Proteobacteria(60.39±12.31%)和Bacteroidetes(26.22±13.94%)是絕對優勢門,Pseudomonas(14.47±6.59%)和Enterobacter(6.01±2.01%)是穩定存在的屬。該數據表明灰水SDGS形成了獨特且隨時間演替的微生物生態系統,其中某些關鍵菌屬具有穩定性。

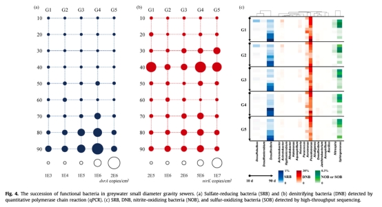
3. 功能菌(SRB, DNB)的定量與分布(來自圖4a, b, c):通過qPCR和測序均檢測到SRB和DNB的存在。SRB數量與生物膜厚度呈線性相關(R2=0.79),而與水體DO濃度無關。該數據至關重要,它表明生物膜厚度而非水體DO是決定SRB棲息的關鍵因素,厚生物膜內部能形成厭氧微環境供SRB生長。

4. 污染物濃度沿程變化(來自圖5a):COD的去除是穩定且有效的(總去除率約22.31%),而TN和TP的去除效果不穩定且微弱。該數據明確了灰水SDGS的主要功能是去除有機物(預處理),但不能依賴其進行可靠的脫氮除磷。

5. 硫化物生成量(來自圖5b):整個系統(1000米)的硫化物生成量極低,最高值僅約0.08 mg/L,遠低于傳統污水下水道。該數據是本研究最關鍵的發現之一,證實了灰水SDGS在控制硫化物腐蝕和異味方面的巨大優勢。
結論
1. 灰水SDGS中能形成獨特且動態變化的生物膜,其微生物群落隨時間發生顯著演替,但Proteobacteria、Bacteroidetes、Pseudomonas和Enterobacter始終占據主導或穩定地位。
2. SRB存在于生物膜中,其數量與生物膜厚度直接相關,表明生物膜內部的厭氧微環境是其生存的決定因素,而非水體的整體DO水平。
3. 灰水SDGS能穩定有效地去除COD,可作為灰水有機物的預處理單元,但其對氮磷的去除不可靠,需要后續處理工藝。
4. 最關鍵的是,灰水SDGS的硫化物生成量極低(<0.08 mg L?1 km?1),比傳統污水下水道低近兩個數量級。這主要歸因于灰水中有機物(SRB底物)濃度較低且系統整體DO水平較高。
5. 因此,采用SDGS進行灰水的單獨收集,是一種兼具經濟效益(低維護成本)和環境效益(低腐蝕風險、利于回用)的可持續方案。
使用丹麥Unisense電極測量數據的研究意義
本研究中使用丹麥Unisense公司的微電極系統(具體型號提及了MM33和LS18)來測量生物膜的厚度。其研究意義在于:
1. 高精度空間分辨率:Unisense微電極能夠精確穿透生物膜并測量其厚度,提供了關于生物膜物理結構形成和動態變化的直接、定量數據。本研究觀察到生物膜厚度并非持續增加,而是呈現周期性變化,這一獨特現象是理解灰水SDGS中微生物過程和污染物轉化機制的關鍵前提。
2. 揭示微環境與功能的聯系:生物膜厚度數據與SRB數量的線性關系(R2=0.79)是本研究的核心發現之一。Unisense電極提供的精確厚度測量,使得建立這一關系成為可能。它強有力地證明,盡管灰水主體中的DO濃度相對較高(G5中仍>0.5 mg/L),但厚生物膜內部形成了有效的DO梯度,從而為嚴格厭氧的SRB創造了生存空間。這解釋了為何在看似有氧的條件下系統中仍能檢測到SRB。
3. 區分整體與局部環境:測量數據表明,不能僅憑水體主體的DO濃度來預測下水道管壁微生物的活性和功能。Unisense電極對生物膜厚度的測量,幫助研究者將“水體環境”與“生物膜微環境”區分開來,強調了從微觀尺度研究下水道過程的必要性。
綜上所述,Unisense微電極提供的生物膜厚度數據,不僅是描述性的參數,更是連接物理結構(厚度)、化學微環境(厭氧區)和生物功能(SRB活性)之間的橋梁,為合理解釋灰水SDGS低硫化物生成這一突出優勢提供了關鍵性的實驗證據。