熱線:021-66110810,66110819
手機:13564362870

熱線:021-66110810,66110819
手機:13564362870
Impact of gas-water ratios on N2O emissions in biological aerated filters and analysis of N2O emissions pathways
氣水比對曝氣生物濾池中N2O排放的影響及N2O排放途徑分析
來源:Science of the Total Environment 723 (2020) 137984
《總體環境科學》,第723卷,2020年,文章編號137984
摘要內容:
該論文研究了曝氣生物濾池(BAF)中氣水比對N2O排放的影響,并分析了N2O的產生途徑。結果表明,N2O產量隨氣水比增加而增加,高氣水比促進了羥胺氧化過程釋放更多N2O。為提高脫氮性能并減少N2O排放,BAF1和BAF2的最佳氣水比分別為5:1和1.5:1。BAF1中N2O主要來自氨氧化細菌(AOB)反硝化和羥胺氧化,而異養反硝化有助于減少N2O排放;BAF2中N2O87.8%來自AOB反硝化,12.2%來自羥胺氧化。增強異養反硝化和厭氧氨氧化(Anammox)活性可減少BAF中N2O釋放。
研究目的:
1. 揭示氣水比對BAF中N2O排放的影響
2. 分析不同BAF中N2O的產生途徑
3. 確定改善脫氮性能和減少N2O排放的最佳氣水比
研究思路:
1. 建立兩個串聯的BAF反應器(BAF1和BAF2),分別處理含碳和不含碳的污水
2. 控制不同氣水比(BAF1:10:1,5:1,2.5:1;BAF2:5:1,1.5:1)
3. 通過長期運行監測水質指標和N2O排放
4. 結合批次實驗和同位素測量(SP值)分析N2O產生途徑
5. 通過qPCR量化功能基因豐度,驗證微生物機制
測量數據及研究意義:
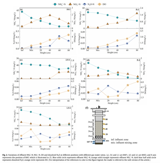
1. 常規水質指標(NH4+-N、NO2--N、NO3--N、COD):用于評估反應器脫氮性能和底物變化(來自圖1)

2. 溶解態和氣態N2O濃度:用于量化N2O排放量及分布規律(來自圖2、3)


3. N2O同位素組成(SP值):用于解析AOB反硝化和羥胺氧化對N2O產生的貢獻比例(來自表1)

4. 功能基因豐度(amoA-AOB、nxrB、nirS、nosZ等):用于解釋微生物功能活動與N2O產生的關系(來自圖5)

5. 批次實驗中的實時動態參數(DO、pH、NO、N2O):用于揭示N2O產生和消耗的瞬態規律(來自圖4、6)


結論:
1. N2O產生量隨氣水比增加而增加,高氣水比促進羥胺氧化過程釋放更多N2O
2. BAF1中N2O來自AOB反硝化、羥胺氧化和異養反硝化,最佳氣水比為5:1
3. BAF2中N2O主要來自AOB反硝化(87.8%)和羥胺氧化(12.2%),最佳氣水比為1.5:1
4. AOB反硝化比異養反硝化產生更多N2O,導致BAF2在相同氣水比下排放更高
5. 增強異養反硝化和Anammox活性可減少N2O釋放
丹麥Unisense電極測量數據的研究意義:
使用Unisense的N2O和NO微傳感器能夠高精度實時監測溶解態N2O和NO的濃度變化,避免了傳統氣相色譜法的時間延遲和取樣誤差。通過實時動態數據(如批次實驗中的N2O和NO曲線),可以準確捕捉N2O產生的瞬態規律,識別關鍵前體物(NO)與N2O的關聯性,從而直接驗證AOB反硝化和羥胺氧化途徑的貢獻。此外,結合DO和pH的同步監測,能夠解析環境因子(如溶解氧)對N2O產生途徑的影響機制,為優化工藝參數提供直接依據。