熱線:021-66110810,66110819
手機:13564362870

熱線:021-66110810,66110819
手機:13564362870
Fine-scale remobilization of phosphorus by rooted macrophytes(Phragmites australis) growth in lake sediments: evidence from a holistic growth period simulation study
湖泊沉積物中蘆葦根系驅動磷的微尺度再遷移:基于全生長周期模擬研究的證據
來源:Journal of Soils and Sediments, Volume 20, pages 1782–1792, (2020)
《土壤與沉積物雜志》第20卷,第1782–1792頁,2020年
摘要核心內容
研究通過120天沉積物微宇宙模擬實驗,結合高分辨率透析技術(HR-Peeper)和鋯氧化物薄膜擴散梯度技術(Zr-oxide DGT),首次揭示蘆葦(Phragmites australis)全生長周期通過根系分泌物和鐵耦合作用驅動沉積物磷(P)的形態轉化與遷移。核心發現:
1. 磷形態動態轉化:蘆葦生長促使沉積物中鈣結合態磷(Ca-P)減少77%,鐵吸附態磷(Fe-P)增加400%,磷形態由惰性向氧化還原敏感態轉化(圖4)。

2. 孔隙水磷活性增強:蘆葦根際區可溶性活性磷(SRP)濃度提升3倍,擴散通量增加17倍(圖5,7),并形成與根系形態匹配的斑塊狀活性磷分布(圖6)。



3. 機制解析:根系分泌有機酸溶解Ca-P,同時根際釋氧促進Fe2?氧化形成鐵膜,通過Fe-P耦合作用調控磷的再遷移(圖2,5)。

研究目的
1. 量化蘆葦全生長周期對沉積物磷形態轉化的影響;
2. 闡明根際微界面磷遷移的驅動機制;
3. 評估水生植被修復對富營養化湖泊內源磷循環的潛在風險。
研究思路
1. 原位模擬設計:采集巢湖沉積物與上覆水,構建沉積物-蘆葦微宇宙系統(圖1d),模擬120天生長期(萌芽至衰老)。

2. 多尺度監測:
? 毫米級分辨率:HR-Peeper測定孔隙水SRP(圖5),Zr-oxide DGT獲取二維活性磷分布(圖6);
? 沉積物磷分級:連續提取法分析0-5 cm和5-10 cm層磷形態(圖4);
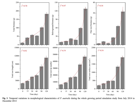
? 蘆葦形態參數:生物量、根長、根表面積等(圖3)。

3. 通量計算:基于菲克定律計算沉積物-水界面磷擴散通量(圖7)。
測量數據及研究意義
1. 沉積物磷形態(圖4)
? 數據:120天后Fe-P從19.36 mg·kg?1增至94.85 mg·kg?1(0-5 cm層),Ca-P從151.34 mg·kg?1降至35.99 mg·kg?1。
? 意義:揭示蘆葦生長促進惰性磷(Ca-P)向活性磷(Fe-P)轉化,增加磷生物可利用性。
2. 孔隙水活性磷(圖5-6)
? 數據:SRP濃度升高3倍(120天 vs 初始),DGT顯示根際區活性磷呈"自上而下"斑塊狀分布(濃度0.01-1.12 mg·L?1)。
? 意義:證實根系活動創造磷遷移熱點,為內源磷釋放提供直接證據。
3. 磷擴散通量(圖7)
? 數據:沉積物-水界面磷通量從31.54 μg·m?2·d?1增至525.44 μg·m?2·d?1(120天)。
? 意義:量化植被修復中沉積物磷釋放強度,預警富營養化治理的潛在風險。
4. 蘆葦形態參數(圖3)
? 數據:總生物量從12.12 g增至183.04 g,細根生物量從1.29 g增至31.46 g。
? 意義:建立植物生長指標與磷活化強度的定量關聯(R2=0.54-0.92),為生態修復提供調控靶點。
結論
1. 磷活化機制:蘆葦根系分泌有機酸溶解Ca-P,根際釋氧促進Fe-P形成,導致沉積物磷活性提升400%。
2. 遷移路徑:活性磷以斑塊狀向根際遷移(DGT驗證),擴散通量增加17倍,加劇沉積物-水界面磷交換。
3. 管理啟示:水生植被修復需關注根際磷活化的"雙刃劍"效應,避免加劇內源負荷。
丹麥Unisense電極測量數據的研究意義
研究使用丹麥Unisense微電極系統原位測定沉積物溶解氧(DO)垂直剖面(圖2),其核心價值在于:
1. 量化根際氧化層擴展:微電極以微米級精度顯示DO滲透深度從初始4 mm增至12 mm(120天),直接驗證蘆葦根系徑向釋氧能力(p<0.05),為"根際氧屏障促進Fe2?氧化及Fe-P形成"的假設提供關鍵證據。
2. 揭示氧化還原驅動機制:DO剖面與Fe-P分布(圖4)、SRP通量(圖7)顯著正相關,闡明根際氧化環境通過Fe3?/Fe2?循環驅動磷的溶解-再吸附過程,解析磷形態轉化的氧化還原敏感特性。
3. 支撐磷遷移模型:DO梯度數據(0-10 mm層)為菲克定律計算磷擴散通量(圖7)提供邊界條件,量化植被生長對沉積物磷釋放的貢獻強度。