熱線:021-66110810,66110819
手機:13564362870

熱線:021-66110810,66110819
手機:13564362870
Polystyrene nanoplastics impair the photosynthetic capacities of Symbiodiniaceae and promote coral bleaching
聚苯乙烯納米塑料損害蟲黃藻光合能力并促進珊瑚白化
來源:Science of the Total Environment, Volume 815,2022, Article 152136
《總環境科學》第815卷,2022年,文章編號152136
摘要核心內容:
本研究通過4周暴露實驗,首次系統評估環境相關濃度(0-0.5 mg/L)的20 nm聚苯乙烯納米塑料(PS-NPs)對兩種蟲黃藻(共生藻Clade A1和F1)及其宿主珊瑚(Stylophora pistillata)的影響。結果表明:
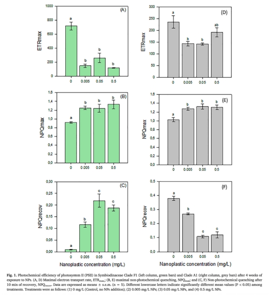
1. PS-NPs顯著降低蟲黃藻最大電子傳遞速率(ETRmax,圖1A,D),損害光合系統II功能;

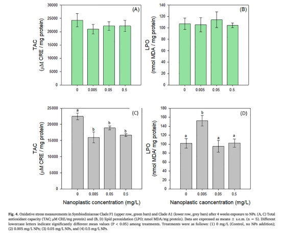
2. Clade A1藻類出現抗氧化能力下降(TAC↓,圖4C)和脂質過氧化增加(LPO↑,圖4D);

3. 0.5 mg/L PS-NPs導致珊瑚共生藻密度減少45%(圖7A),葉綠素含量降低38%(圖7B),引發顯著白化;

4. 珊瑚宿主組織出現氧化應激(TAC↑ & LPO↑,圖8B,D),而共生藻未受影響(圖8A,C)。

研究目的:
闡明納米塑料污染對造礁珊瑚共生系統(蟲黃藻光合作用-宿主氧化平衡)的毒性機制,評估其作為新興脅迫因子對珊瑚礁生態的威脅。
研究思路:
1. 藻類實驗:對比Clade A1(廣宿主型)和Clade F1(窄宿主型)在4種NP濃度(0/0.005/0.05/0.5 mg/L)下的光合參數(PAM)、氧化狀態(TAC/LPO)及代謝指標
2. 珊瑚實驗:以含Clade A1的S. pistillata為模型,測試0.5 mg/L NPs對共生系統的影響(白化指標、宿主-共生藻氧化狀態分離)
3. 多尺度驗證:結合脈沖調制熒光(PAM)、溶解氧微傳感(Unisense)、生化分析(蛋白質/葉綠素)
測量數據及研究意義:
1. 光合效率損傷(圖1)
? 數據:0.005 mg/L NPs使Clade A1和F1的ETRmax降低26-31%(p<0.05)
? 意義:納米塑料直接損害蟲黃藻光系統II功能,且低濃度即有效應
2. 藻類氧化失衡(圖4)
? 數據:Clade A1在0.005 mg/L NPs下LPO升高42%(p=0.038)
? 意義:納米塑料引發脂質過氧化,細胞膜完整性受損
3. 珊瑚白化(圖7)
? 數據:0.5 mg/L NPs使珊瑚共生藻密度降至2.1×10? cells/cm2(對照組3.8×10?)
? 意義:證實納米塑料是獨立于溫度的白化誘因
4. 宿主-共生藻響應差異(圖8)
? 數據:宿主組織LPO升高35%(p=0.049),而共生藻TAC/LPO無變化
? 意義:納米塑料主要靶向珊瑚宿主,破壞其氧化平衡
結論:
1. 納米塑料通過抑制蟲黃藻ETRmax(非濃度依賴性)直接損害光合作用
2. Clade A1比Clade F1更易發生氧化損傷(LPO顯著升高)
3. 0.5 mg/L NPs引發珊瑚白化(共生藻損失+葉綠素減少),宿主氧化應激是主要驅動因素
4. 納米塑料污染與全球變暖的疊加效應可能加劇珊瑚礁退化
丹麥Unisense電極測量數據的核心研究意義:
采用Unisense氧傳感器(Presens光纖氧計)測量光合/呼吸速率(2.3.2節):
1. 代謝活性量化:直接測定蟲黃藻凈光合(O?生成)和呼吸(O?消耗)速率(圖2),證實0.5 mg/L NPs使Clade F1光合速率降低32%(p<0.05)

2. 技術優勢:
? 非侵入式實時監測(避免樣品破壞)
? 高靈敏度(檢測限<0.1 μmol O?/L)
? 活體珊瑚適用(支持原位生理評估)
3. 機制關聯:光合速率下降與ETRmax降低(PAM數據)形成互證,揭示納米塑料對光能轉化-碳固定的雙重抑制