熱線:021-66110810,66110819
手機:13564362870

熱線:021-66110810,66110819
手機:13564362870
Increasing the availability of oxygen promotes the metabolic activities and population growth of cable bacteria in freshwater sediments
增加氧氣可用性促進淡水沉積物中電纜細菌的代謝活性和種群增長
來源:Journal of Hydrology, 608 (2022) 127666
《水文學雜志》第608卷 2022年 文章編號:127666
摘要內容
摘要指出電纜細菌廣泛存在于淡水和海洋生境中,其獨特的電活性硫氧化代謝(e-SOx)對水生生態系統具有重要生態意義。然而,淡水沉積物中電纜細菌動態變化和豐度的環境驅動因素尚不明確。本研究通過微傳感器剖面、熒光原位雜交(FISH)和16S rRNA基因測序技術,發現增加上覆水氧氣可用性顯著促進電纜細菌的代謝活性和增殖,表現為更高的e-SOx速率和更大的種群規模。氧氣可用性提升還驅動電纜細菌向沉積物深層生長,增加深層溶解硫酸鹽庫,從而擴大其對沉積物生物地球化學循環的垂直尺度影響。
研究目的
揭示上覆水中氧氣可用性對淡水沉積物中電纜細菌生長動態(包括代謝活性和種群豐度)的影響機制,為理解自然環境中電纜細菌的生態功能提供依據。
研究思路
實驗設計:
采集含電纜細菌的淡水沉積物(北京溫榆河),設置4種氧氣處理組:厭氧(AN)、部分復氧(PR)、自然復氧(NR)和完全復氧(FR)。
在50天孵化期內,通過微電極連續監測溶解氧(DO),維持各組氧氣水平穩定(AN: 1.88 μmol L?1; PR: 153 μmol L?1; NR: 276 μmol L?1; FR: 307 μmol L?1)。
技術手段:
微傳感器(丹麥Unisense)高分辨率測量孔隙水中O?、ΣH?S和pH剖面(圖1)。

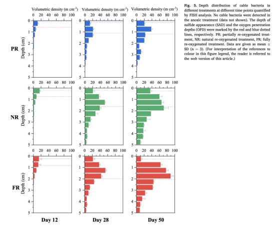
FISH技術定量電纜細菌豐度及垂直分布(圖4, 圖5)。


16S rRNA基因測序分析電纜細菌相對豐度(圖4b)。
孔隙水地球化學分析(Fe2?、SO?2?、AVS)(圖3)。
數據分析:

基于微傳感器數據計算亞氧區寬度、△pH和陰極耗氧率(COC)(圖2)。

結合硫鐵平衡模型量化e-SOx對沉積物元素循環的貢獻(表2)。

測量數據及研究意義
微傳感器剖面(O?, ΣH?S, pH):
數據來源:圖1(O?、ΣH?S、pH垂直分布)和圖2(COC、△pH、亞氧區寬度時序變化)。
意義:揭示氧氣可用性對e-SOx活性的直接影響。例如,FR組亞氧區寬度(20.6 mm)顯著大于PR組(11.9 mm),表明高氧促進電纜細菌代謝的空間擴展。
孔隙水地球化學(Fe2?, SO?2?, AVS):
數據來源:圖3(Fe2?、SO?2?、AVS垂直分布)和表2(硫鐵通量計算)。
意義:闡明e-SOx對硫鐵循環的間接影響。FR組孔隙水SO?2?庫(466 mmol m?2)是AN組的8.9倍,說明高氧促進電纜細菌驅動的硫酸鹽再生。
電纜細菌豐度(FISH和16S測序):
數據來源:圖4a(電纜細菌密度時序變化)、圖4b(相對豐度)、圖5(垂直分布)。
意義:量化氧氣對種群規模的調控作用。FR組50天時電纜細菌密度(190 m cm?2)是PR組的2.9倍,證實氧氣是種群增長的關鍵限制因子。
結論
氧氣促進代謝與種群增長:高氧處理(FR/NR)的陰極耗氧率(COC)和電纜細菌密度顯著高于低氧組(PR),且后期促進作用更顯著(圖2a, 圖4a)。
影響硫鐵循環:e-SOx活動促進亞氧區FeS溶解和SO?2?再生(圖3),高氧組硫酸鹽還原率(SRR1)占硫供給的74-77%(表2)。
驅動細菌向下擴展:氧氣增加使電纜細菌向深層遷移(FR組峰值深度2.06 cm vs. PR組1.19 cm),擴大其對深層沉積物生物地球化學的影響(圖5)。
Unisense電極數據的詳細解讀
使用丹麥Unisense微電極測量的O?、ΣH?S和pH剖面數據具有以下核心研究意義:
揭示缺氧環境形成機制:
O?穿透深度(OPD)隨氧氣供應增加而顯著增大(FR組2.13 mm vs. PR組0.99 mm)(圖1),證明高氧環境延緩沉積物耗氧過程,為電纜細菌代謝提供更廣的氧化界面。
闡明代謝驅動因素:
pH極值(△pH)與COC率顯著正相關(FR組△pH=0.55 vs. PR組0.35)(圖2b),證實電纜細菌代謝通過陰極耗氧消耗質子,導致表層堿化。
界定氧化還原分帶:
ΣH?S與O?剖面分離形成亞氧區(圖1),其寬度與電纜細菌豐度峰值深度一致(圖5),證明e-SOx是沉積物氧化還原分層的關鍵驅動者。
量化代謝活性動態:
COC率在28天達峰值(FR組1.04 mmol m?2 d?1)(圖2a),與電纜細菌密度增長同步(圖4a),直接關聯氧氣可用性與代謝強度。后期COC率下降反映堿性物質向上覆水擴散,凸顯代謝產物的遷移效應。