熱線:021-66110810,66110819
手機:13564362870

熱線:021-66110810,66110819
手機:13564362870
Sediment nitrogen contents controlled by microbial community in a eutrophic tributary in Three Gorges Reservoir, China
三峽水庫富營養化支流沉積物氮含量受微生物群落控制的研究
來源:Environmental Pollution, 314 (2022) 120312
《環境污染》第314卷 2022年 文章編號120312
摘要內容
摘要指出,三峽水庫(TGR)支流香溪灣(XXB)沉積物中的氮污染問題嚴重,微生物介導的氮循環過程(如反硝化、厭氧氨氧化)可促進氮的去除。研究通過表征沉積物-水界面的氮分布、微生物群落組成及潛在反硝化速率,揭示了溶解氧(DO)和硝酸鹽可用性是反硝化等過程的關鍵限制因子,增強水體擾動可提升沉積物氮去除能力。
研究目的
探索香溪灣沉積物中微生物群落對氮循環的控制機制,評估微生物介導的氮去除潛力及其限制因素,為緩解水庫內源氮污染提供理論依據。
研究思路
空間分布分析:沿香溪灣上、中、下游及河口采集沉積物巖芯,測定孔隙水和沉積物的氮形態(TKN、TON、NH??、NO??)分布(圖2、圖3)。


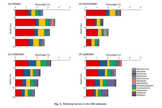
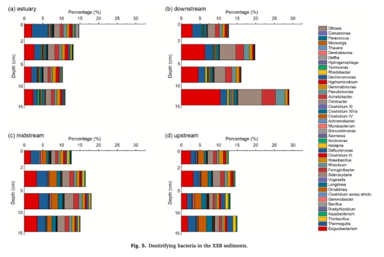
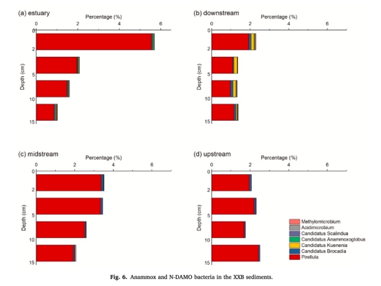
微生物群落解析:通過16S rRNA高通量測序,鑒定硝化菌、反硝化菌、厭氧氨氧化菌(anammox)和硝酸鹽/亞硝酸鹽依賴型厭氧甲烷氧化菌(N-DAMO)等功能微生物(圖4、圖5、圖6)。



過程速率測量:使用乙炔抑制法測定表層沉積物(0–2 cm)潛在反硝化速率和N?O凈產生速率(圖7)。

環境因子關聯:結合溶解氧微剖面和氮含量數據,分析DO與硝酸鹽可用性對氮循環的調控作用。
測量數據及研究意義
氮空間分布數據(圖2、圖3)
數據內容:孔隙水和沉積物中NH??、NO??、TKN、TON的垂向分布。
研究意義:揭示沉積物有機氮礦化釋放NH??、NO??在沉積界面耗竭的規律,證實下游湍流增強促進氮礦化和釋放,為內源污染機制提供證據。
微生物群落數據(圖4、圖5、圖6)
數據內容:硝化菌(如Nitrospira)、反硝化菌(如Exiguobacterium)、anammox菌(如Pirellula)、N-DAMO菌(如Methylomicrobium)的相對豐度。
研究意義:明確微生物功能群與氮形態的顯著相關性(表1、表2)

例如反硝化菌豐度與NO??負相關、與NH??正相關,證明微生物驅動氮轉化過程。
反硝化速率數據(圖7)
數據內容:潛在反硝化速率(7.69–10.39 μmol N?O m?2 h?1)和N?O凈產生速率(-0.43至2.4 μmol N?O m?2 h?1)。
研究意義:表明沉積物是N?O的匯(尤其上游),反硝化主導氮去除,且anammox等途徑可能進一步貢獻脫氮潛力。
溶解氧微剖面數據
數據內容:丹麥Unisense微電極測定的沉積物-水界面DO梯度(3 mm內耗盡)。
研究意義:高分辨率DO數據揭示氧化還原過渡區位置,解釋硝化作用受限(DO>3 mm)和反硝化/厭氧過程活躍(DO<3 mm)的分層機制,為"氧和硝酸鹽是氮去除關鍵限制因子"提供直接證據。
結論
沉積物有機氮降解顯著(埋藏中TON減少67%),下游湍流促進NH??礦化釋放,導致內源污染風險。
硝酸鹽-銨過渡區存在復雜微生物氮循環(反硝化、anammox、N-DAMO),其中DO和NO??可用性限制脫氮效率。
增強水體擾動可提升DO和NO??向沉積物擴散,促進微生物氮去除,強化水庫自凈能力。
Unisense電極數據的核心意義
通過Unisense微電極系統測定的溶解氧微剖面顯示,沉積物-水界面存在毫米級氧化還原梯度(DO在3 mm內耗盡)。這一數據:
界定反應熱點:明確硝化作用僅發生于表層有氧區(<3 mm),而反硝化/anammox集中于下層缺氧區,解釋NH??累積與NO??耗竭的空間耦合機制。
量化限制因子:DO滲透深度直接制約硝化菌活性(圖4中硝化菌隨深度減少),導致NO??供應不足,限制反硝化潛力。
指導干預策略:證實通過增強水流擾動擴大DO滲透深度或直接注入富氧水,可拓寬硝化-反硝化耦合區,提升脫氮效率。