熱線:021-66110810,66110819
手機:13564362870

熱線:021-66110810,66110819
手機:13564362870
Stimulation of high-concentration dissolved nitrogen and reactive phosphorus in Lake Taihu sediments on the initiation and maintenance of cyanobacterial blooms
太湖沉積物中高濃度溶解氮和活性磷對藍藻水華起始和維持的刺激作用
來源:Science of the Total Environment 851 (2022) 158088
《總體環境科學》第851卷 2022年 文章編號 158088
摘要內容
摘要指出,通過高分辨率采樣技術(HR-Peeper)研究太湖梅梁灣沉積物中溶解無機氮(DIN: NH?-N, NO?-N, NO?-N)和溶解性活性磷(DRP)的時空變化及其對藍藻水華的影響。關鍵發現包括:
四月(水華起始期):深層缺氧沉積物(>110 mm)出現高濃度NO?-N和NO?-N,可能由地下水輸入引起。這些氮形態促進厭氧條件下有機磷礦化,導致沉積物DRP升高,進而刺激五月藍藻水華爆發(因水體DRP極低)。
六月至八月(水華維持期):表層沉積物出現高濃度NO?-N、NO?-N和DRP,源于藍藻殘體礦化釋放的NH?-N經古菌氨氧化轉化。此過程在九月氮磷共限制期維持藍藻水華。
研究目的
探究沉積物中DIN和DRP的時空動態如何通過影響營養鹽循環,驅動太湖藍藻水華的起始(四月)和維持(六月至八月)。
研究思路
采樣設計:在梅梁灣每月采集沉積物柱芯(2018年11月–2019年10月),使用HR-Peeper獲取孔隙水(分辨率5 mm)的DIN和DRP數據。
輔助分析:
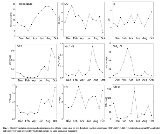
測定水體葉綠素a(Chl a)、DO、溫度等參數(圖1)。

分析表層沉積物TN、TP、TOC(圖2)。

結合孔隙水UV254和熒光光譜(圖5)表征有機物來源。

通過16S rRNA測序分析微生物群落功能(圖6)。

機制解析:關聯沉積物營養鹽動態與水華關鍵期(四月起始、六月至八月維持)的因果關系。
測量數據及研究意義
沉積物孔隙水DIN和DRP(圖3):

數據:NH?-N、NO?-N、NO?-N、DRP的垂直分布(0至-200 mm)。
意義:揭示氮磷在沉積物-水界面的遷移規律,明確高濃度營養鹽出現的時空位置(如四月深層高NO?-N、六月至八月表層高NO?-N/NO?-N)。
水體理化參數(圖1):
數據:Chl a、TP、TN、NH??-N、NO??-N、DRP、pH、DO、溫度。
意義:界定藍藻水華周期(五月爆發、九月復發),分析水體營養鹽限制狀態(五月后TN/TP驟降,轉為氮磷共限制)。
表層沉積物性質(圖2):
數據:TOC、TN、TP的月變化。
意義:反映有機質礦化強度(如四月TN/TP驟降指示礦化加速)。
孔隙水有機物特征(圖5):
數據:UV254吸光度、熒光組分(色氨酸/酪氨酸類物質)。
意義:驗證藍藻殘體礦化貢獻(六月高UV254和色氨酸信號)。
微生物群落功能(圖6):
數據:古菌和細菌氨氧化菌相對豐度。
意義:解釋六月表層高NO?-N的成因(古菌主導氨氧化)。
丹麥Unisense電極數據的意義
通過Unisense微電極測定沉積物溶解氧(DO)滲透深度(<5 mm),證明:
四月深層沉積物(>110 mm)的高NO?-N非本地生化反應產生(因缺氧環境抑制硝化),支持"地下水輸入"假說。
六月表層高NH??需依賴古菌氨氧化轉化為NO?-N(因DO滲透淺層,僅表層具備硝化條件)。
結論
四月:地下水輸入NO?-N促進沉積物有機磷礦化,釋放DRP至水體,緩解磷限制并觸發五月藍藻水華。
六月至八月:藍藻殘體礦化釋放NH??,經古菌氨氧化轉化為NO?-N,與DRP共同維持表層沉積物高營養鹽水平,支撐九月水華復發。
機制貢獻:沉積物內部營養鹽動態通過"地下水輸入"和"藍藻殘體再生"兩條路徑,形成對水華起始和維持的正反饋循環。