熱線:021-66110810,66110819
手機:13564362870

熱線:021-66110810,66110819
手機:13564362870
Infaunal invertebrate community relationships to water column and sediment abiotic conditions
底棲無脊椎動物群落與水體及沉積物非生物條件的關系
來源:Marine Biology, 2024 Volume 171, Article number 3
《海洋生物學》,2024年第171卷,文章編號3
摘要內容:
論文研究了加拿大新不倫瑞克省兩個潮間帶區域(芬迪灣和圣勞倫斯灣南部)水體與沉積物非生物因子(鹽度、沉積物粒度、碳酸鹽化學等)對底棲無脊椎動物群落及雙殼類幼體豐度的影響。研究發現碳酸鹽化學參數(尤其沉積物pH和堿度)解釋了群落變異的7-44%,其中芬迪灣沉積物pH解釋力最強(16.9%),圣勞倫斯灣鹽度解釋力最突出(9.8%)。堿度(水體或沉積物)在所有模型中均顯著,表明其對底棲生物的關鍵作用。
研究目的:
闡明水體鹽度、溫度、碳酸鹽化學及沉積物特性(粒度、pH、堿度等)如何影響潮間帶底棲無脊椎動物群落結構、物種豐富度、總豐度及雙殼類幼體補充量,評估未來海洋酸化對這些生物的潛在影響。
研究思路:
在芬迪灣(4站點)和圣勞倫斯灣南部(6站點)布設樣帶,2020-2021年采集沉積物柱狀樣(直徑6.4cm,深5cm)。
測量水體(鹽度、溫度、pH、堿度)和沉積物(pH剖面、堿度、有機質、碳酸鹽含量、粒度參數)非生物因子。
分析底棲無脊椎動物群落組成(>180μm個體),聚焦雙殼類幼體(軟殼蛤、波羅的海蛤等)。
多變量分析(PERMANOVA、DISTLM)解析群落結構驅動因子;廣義線性混合模型(GLMM)量化非生物因子對物種豐富度、總豐度及雙殼類豐度的影響。
測量數據及研究意義:
物種豐富度與豐度(圖2):圣勞倫斯灣站點豐富度顯著低于芬迪灣(p<0.001)。意義:揭示區域環境差異對生物多樣性的塑造作用。

群落組成(圖3):芬迪灣CL站點群落與圣勞倫斯灣站點相似(PERMANOVA p<0.001)。意義:沉積物類型(CL為砂質)可能超越地理距離主導群落結構。

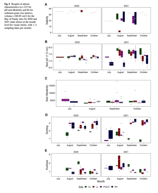
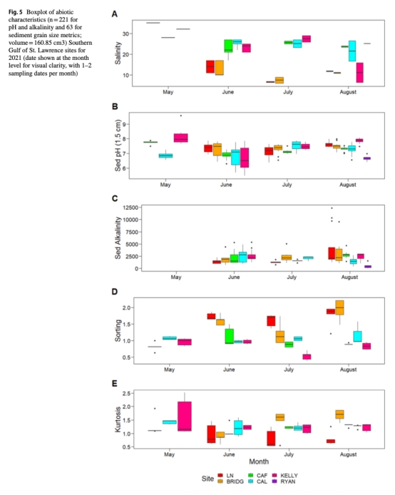
非生物因子特征(圖4-5):芬迪灣沉積物pH年際波動大(2020年穩定,2021年變幅達1個單位),圣勞倫斯灣鹽度梯度顯著(河口站點LN/BRIDG低于濱海站點)。意義:為群落差異提供環境背景。


模型系數(圖7):水體堿度正向影響物種豐富度(β=0.32),沉積物pH負向調控雙殼類豐度(β=-0.18)。意義:量化碳酸鹽化學對生物指標的劑量效應。

DISTLM結果(表4):沉積物pH解釋芬迪灣群落變異的16.9%,鹽度解釋圣勞倫斯灣變異的9.8%。意義:識別關鍵區域特異性驅動因子。

結論:
碳酸鹽化學參數(沉積物pH、水體/沉積物堿度)是底棲群落的核心驅動因子,解釋力達7-44%,堿度在所有模型中均顯著。
區域差異顯著:芬迪灣群落主要受沉積物pH調控,圣勞倫斯灣受鹽度主導;沉積物類型(砂質vs泥質)可超越地理距離影響群落相似性。
雙殼類幼體豐度與堿度呈負相關,但模型解釋力較低(R2=0.19-0.26),暗示其他因子(如捕食、幼蟲供應)的作用。
氣候變化引發的海洋酸化(pH↓)和堿度變化可能通過改變沉積物微環境間接影響底棲群落。
丹麥Unisense電極數據的詳細研究意義
使用Unisense pH-500微電極(圖4)以0.5cm分辨率測量沉積物pH垂直剖面(0-3cm深度):
揭示沉積物化學梯度:首次在潮間帶研究中實現毫米級pH剖面量化(如CL站點1.5cm處pH=7.8±0.3),發現芬迪灣沉積物pH年際波動達1個單位(2021年RH站點),暗示環境不穩定性對生物分布的潛在壓力。
解析生物擾動效應:沉積物pH與雙殼類豐度顯著負相關(GLMM β=-0.18, p<0.05),可能與生物灌溉活動改變氧化還原條件相關,為"生物擾動-碳酸化學-生物響應"機制提供實證。
驗證方法可靠性:樣品轉運6小時內完成測量(符合Pimenta & Grear 2018標準),三重復剖面確保數據精度,但沉積物原位擾動可能影響孔隙水化學狀態。
創新技術應用:結合Velmax Unislide定位系統實現高分辨率(±0.05cm)原位模擬測量,克服潮間帶原位監測難題,為微尺度生物-地球化學耦合研究設立新標準。