熱線:021-66110810,66110819
手機:13564362870

熱線:021-66110810,66110819
手機:13564362870
Insights into the efficient ozonation process focusing on 2,4-di-tert-butylphenol- A notable micropollutant of typical bamboo papermaking wastewater: Performance and mechanism
聚焦竹漿造紙廢水典型微污染物2,4-二叔丁基苯酚的高效臭氧氧化過程:性能與機理研究
來源:Journal of Hazardous Materials, Volume 443,2023, Article 130346
《危險材料雜志》第443卷,2023年,文章編號130346
摘要內容
本研究針對竹漿造紙廢水(BPPW)中檢出的典型難降解微污染物2,4-二叔丁基苯酚(2,4-DTBP),系統評估了臭氧氧化技術的降解效能與機制。實驗表明臭氧可高效降解2,4-DTBP,其二級反應速率常數達(1.80±0.05)×10? M?1s?1。中性條件下臭氧投加量≥6 mg/L時,5 mg/L的2,4-DTBP去除率達100%。竹漿廢水中共存物質(Cl?、HCO??)可促進降解,而NH??和腐殖酸(HA)則抑制降解。機理研究證實臭氧分子主導降解過程,通過親電取代和1,3-偶極環加成反應路徑進行。利用UPLC-Q-TOF/MS鑒定出27種中間產物,其生成量隨臭氧劑量動態變化。毒性評估(ECOSAR)表明降解后毒性顯著降低。實際竹漿廢水生化尾水經臭氧處理后,2,4-DTBP、色度和COD去除率分別達100%、93.8%和83.5%,證實該技術工程應用潛力。
研究目的
量化臭氧降解2,4-DTBP的動力學特性及關鍵影響因素
解析臭氧與2,4-DTBP的反應機制及產物演化路徑
評估降解過程毒性變化及共存物質對處理效果的影響
驗證臭氧技術對實際竹漿廢水生化尾水的深度處理效能
研究思路
降解動力學研究:通過競爭動力學實驗(以卡馬西平CMP為參比物)測定反應速率常數(圖1)

影響因素分析:考察臭氧劑量(圖2a)、pH(圖2b)、共存離子(Cl?、HCO??、NH??、NO??)及腐殖酸(圖3)對去除率的影響


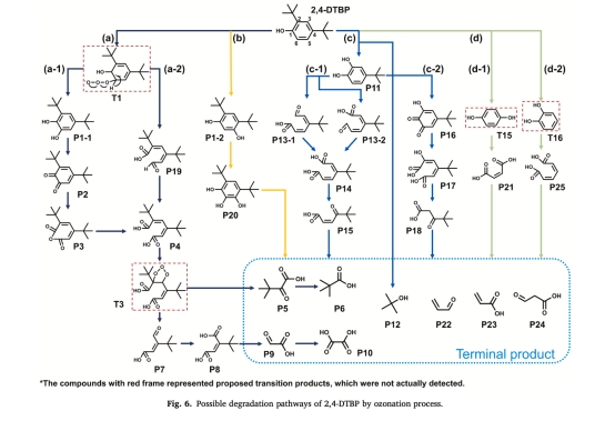
機理解析:羥基自由基淬滅實驗(TBA)區分臭氧直接氧化與·OH間接氧化貢獻(圖4);產物鑒定(UPLC-Q-TOF/MS)推導降解路徑(圖5-6)



毒性評估:ECOSAR預測母體及產物對水生生物的急性/慢性毒性(圖7)

實際應用驗證:臭氧處理實際竹漿廢水生化尾水,評估關鍵指標去除效果(圖8)

測量數據及研究意義
反應動力學數據(圖1)
數據:臭氧與2,4-DTBP反應速率常數k = 1.80×10? M?1s?1
意義:量化降解效率,為工藝設計提供基礎參數
來源:圖1b(競爭動力學曲線)
pH效應數據(圖2b)
數據:pH=10時去除率最高(94.1%),pH=11時最低(因臭氧快速自分解)
意義:揭示pH通過影響臭氧穩定性及2,4-DTBP電離態(pKa=11.18)調控反應效率
來源:圖2b(不同pH去除率對比)
共存物質影響數據(圖3)
數據:Cl?(10mM)和HCO??(15mM)提升去除率6-8%,HA(10mgC/L)使去除率從90.5%降至39.1%
意義:明確實際廢水中關鍵干擾因素,指導預處理策略
來源:圖3a(Cl?)、圖3b(HCO??)、圖3d(HA)
自由基貢獻數據(圖4)
數據:中性條件下臭氧直接氧化貢獻88.5%,·OH間接氧化貢獻11.5%
意義:證實反應以臭氧分子主導,優化時需側重強化直接氧化路徑
來源:圖4(TBA淬滅實驗)
實際廢水處理數據(圖8)
數據:臭氧投加20mg/L處理60分鐘,2,4-DTBP、色度、COD去除率分別達100%、93.8%、83.5%
意義:驗證技術工程可行性,GC-MS顯示出水有機物未檢出(圖8d)
來源:圖8a-c(指標去除曲線),圖8d(GC-MS譜圖對比)
丹麥Unisense電極數據的核心意義
使用Unisense pH微電極(pH-25型)實現:
原位精準監測:實時追蹤反應體系pH動態變化,避免取樣導致的CO?逸散等誤差
機制解析支撐:精確控制pH條件(如pH=10時電離態2,4-DTBP占比升高),合理解釋去除率峰值現象
過程關聯分析:結合臭氧衰減實驗數據,揭示pH通過影響臭氧半衰期(pH=11時衰減速率是pH=3時的128倍)間接調控降解效率
工程應用指導:為實際廢水處理中pH優化控制(圖8)提供可靠數據支持
結論
高效降解性:臭氧可快速降解2,4-DTBP(k=1.8×10? M?1s?1),最佳pH=10,投加量≥6mg/L時完全去除
反應機制:以臭氧分子直接氧化為主(親電攻擊苯環C6位),生成羥基化產物(P1-1)后經開環生成醛酸類小分子
毒性演變:27種產物中僅P3(對水蚤)和P22(對魚類)毒性高于母體,適當提高臭氧劑量可進一步降毒
實際效能:臭氧深度處理竹漿廢水生化尾水,2,4-DTBP和色度完全去除,COD去除率83.5%,GC-MS未檢出有機物