熱線:021-66110810,66110819
手機:13564362870

熱線:021-66110810,66110819
手機:13564362870
Quantified trend of photosynthetic rate along the depth of microalgae biofilm
光合速率沿微藻生物膜深度的量化趨勢
來源:Science of the Total Environment 876 (2023) 162801
1. 摘要核心內容
研究對象:附著培養的微藻生物膜(Chlorella vulgaris)內部光合速率的垂直分布規律。
核心發現:
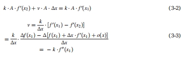
首創量化方法:基于溶解氧(DO)微電極測量氧濃度梯度 f(x),構建模型 v=?k?f′′(x) 量化生物膜不同深度的凈光合速率(圖1,公式3-2)。
光衰減差異:生物膜內光合速率呈線性衰減(圖2),而懸浮系統為指數衰減(公式2-1, 2-2),因生物膜空隙含氣態氧,光傳輸效率更高。
深層光合潛力:150–200 μm深處光合速率僅為表層的3.60–17.86%,但5000 lx強光下可提升389–956%(圖3)。
光適應機制:深層微藻光飽和點降低(100–150 μm層:2000 lx;表層:8000 lx),適應低光環境(圖3)。



2. 研究目的
量化生物膜光合梯度:解決附著培養系統中光梯度影響光合效率的關鍵問題。
對比系統差異:揭示附著vs.懸浮培養的光傳輸機制差異。
挖掘深層藻潛力:評估深層微藻在強化光照下的光合恢復能力。
3. 研究思路
材料準備:小球藻生物膜培養于濾膜(24天,300 lx),分層厚度50 μm(圖1)。
微電極測量:Unisense DO微電極(OX-10)以10 μm步進掃描,獲取8組光強(0–10,000 lx)下的 f(x) 曲線(圖1)。
模型構建:基于Fick擴散定律和氧質量守恒,推導 v 與 f′′(x) 的線性關系(公式3-2)。
對比驗證:對比懸浮系統光衰減模型(Steele模型,公式2-2)。
數據分析:分層計算光合速率,統計顯著性(t-test, p<0.05)。
4. 測量數據及意義
關鍵數據與來源
數據類別 來源圖表 研究意義
DO分布曲線 f(x) 圖1 微電極直接測量生物膜內部氧梯度,為模型提供輸入數據。
光合速率垂直分布 圖2 附著系統線性衰減(斜率-0.15)vs.懸浮系統指數衰減(k=0.25 m?1),證明生物膜光利用更高效。
分層光合速率(光強響應) 圖3 150–200 μm層光合速率僅表層3.6–17.8%,但5000 lx下提升近10倍,揭示深層藻資源潛力。
光飽和點變化 圖3 深層微藻光飽和點降低(100–150 μm: 2000 lx;0–50 μm: 8000 lx),表明其低光適應性進化。


5. 核心結論
光傳輸機制革新:生物膜因含氣態空隙,光衰減更緩慢(線性),區別于懸浮系統的指數衰減(圖2)。
深層光合潛力:強光(5000 lx)可激活深層微藻(100–200 μm)光合活性,速率提升最高956%(圖3b)。
光適應策略:深層微藻下調光飽和點以適應低光,限制強光下的光合效率(圖3a)。
模型普適性:v=?k?f′′(x) 為生物膜代謝研究提供通用量化工具。
6. Unisense微電極數據的深度解讀
測量方法與結果
技術參數:
微電極類型:OX-10(Unisense, Denmark),尖端直徑10 μm。
掃描精度:10 μm步進,垂直穿透生物膜(圖1)。
校準:空氣飽和水(21 kPa)與無氧溶液兩點校準。
關鍵結果:
氧梯度曲線:測得 f(x) 呈S型(圖1),表明生物膜表層(0–50 μm)為高氧光合活性區。
二階導計算:f′′(x) 峰值對應光合速率最大值(公式3-2)。
強光響應:5000 lx下,150–200 μm層 f(x) 斜率增大,反映氧產量激增(圖3b)。
研究意義
空間分辨率突破:10 μm級精度揭示生物膜內部微尺度代謝異質性(傳統方法無法實現)。
動態過程捕捉:實時監測光強變化下的氧重分布(如400 lx → 5000 lx,圖3b),解析光適應動力學。
機制驗證:通過 f′′(x) 計算直接驗證光合抑制假說(10,000 lx下表層 v 下降,圖3a)。
應用導向:指導生物膜反應器設計——優化光分布(如梯度光照),最大化深層藻產能。
總結
本研究通過Unisense微電極量化了微藻生物膜光合速率的垂直分布,首次建立 v 與 f′′(x) 的數學模型。結論揭示:生物膜內光衰減更平緩,深層微藻具巨大光合潛力;Unisense數據不僅驗證了光適應理論,更為生物膜反應器的光調控提供了高精度設計依據。 未來可拓展至不同藻種/EPS分泌對光傳輸的影響研究。