熱線:021-66110810,66110819
手機:13564362870

熱線:021-66110810,66110819
手機:13564362870
Environmental influence on summer survival of Manila Clam Ruditapes philippinarum: A case study in an aquaculture bay
環境因素對菲律賓蛤仔夏季存活的影響:以養殖海灣為例
來源:Marine Environmental Research, Volume 192, 2023, 106242
《海洋環境研究》期刊,192卷 2023年 文章編號:106242
摘要內容
研究通過2019–2020年夏季對萊州灣菲律賓蛤仔養殖區的野外調查,探究環境因素對其夏季高死亡率的影響。結果顯示:2020年未發生大規模死亡事件,環境因子空間差異不顯著;而2019年8月中潮區出現顯著環境異?!罡咚疁?1.49°C、硫化氫(H?S)濃度峰值24.72 μmol/L、溶解氧(DO)最低值3.35 mg/L,同期該區域蛤仔存活率下降80%。糖原含量較肥滿度(CI)更敏感地反映蛤仔健康狀態,主成分分析表明高溫、低氧與H?S的協同脅迫是導致死亡的主因。
研究目的
識別菲律賓蛤仔夏季大規模死亡的環境驅動機制
評估多重環境脅迫(高溫、低氧、H?S)的協同效應
驗證糖原含量與肥滿度作為蛤仔健康預警指標的適用性
研究思路
混合監測策略:
連續監測(每兩日):底層水溫、溶解氧(YSI水質儀)
月度野外調查:水環境(鹽度、葉綠素a、pH)、沉積環境(H?S、氧化還原電位Eh、有機碳OC)、蛤仔生理指標(存活率、糖原、CI)
應急響應:當連續監測檢測到水溫>30°C或DO<5 mg/L時,立即觸發補充調查
空間分區:
高潮區(站點1#、2#)、中潮區(3#–5#)、低潮區(6#、7#)、混養區(8#–10#)
數據分析:
方差分析(ANOVA)比較區域/時間差異
主成分分析(PCA)解析環境因子與死亡的關聯
Pearson相關性檢驗生理指標與環境因子的關系
測量數據及研究意義
水環境數據(圖2, 圖3)


數據:2019年8月中潮區持續高溫(>30°C)、低氧(DO最低3.35 mg/L);2020年無異常。
意義:揭示高溫與低氧的時空耦合是死亡事件的觸發條件,為亞致死脅迫協同效應提供證據。
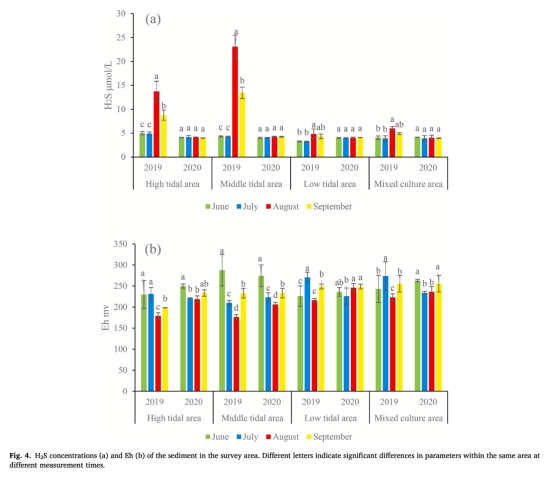
沉積環境數據(圖4, 表1)


數據:2019年8月中潮區H?S濃度驟升(23.08±2.40 μmol/L),Eh降至還原態(~170 mV);OC含量較高(1.17%)。
意義:證實高有機質沉積物在高溫下促進硫酸鹽還原菌活動,釋放毒性H?S,加劇低氧脅迫。
蛤仔生理數據(圖5, 圖6)


數據:2019年中潮區糖原含量7月顯著下降(早于CI變化),8月存活率暴跌80%;其他區域變化不顯著。
意義:糖原含量是比CI更敏感的早期健康指標,為養殖預警提供關鍵參數。
丹麥Unisense電極數據的詳細研究意義
使用Unisense微電極(丹麥)原位測定沉積物3–5 cm深處的H?S濃度和氧化還原電位(Eh),其研究意義在于:
高精度原位監測:
避免傳統取樣導致的H?S氧化損失,準確捕獲沉積物微界面的還原狀態變化(圖4a顯示2019年8月中潮區H?S濃度異常峰值)。
揭示環境鏈式反應:
Eh數據(圖4b)顯示中潮區沉積物從氧化態(Eh>200 mV)突變為還原態(Eh~170 mV),直接關聯有機質厭氧分解產生的H?S爆發,闡明"高溫→低氧→H?S釋放"的級聯脅迫機制。
量化毒性閾值:
H?S濃度>20 μmol/L(雖低于實驗室單一脅迫致死限)與高溫/低氧協同作用下導致蛤仔生理崩潰,解釋亞致死條件死亡現象。
結論
死亡主因:高溫、低氧與H?S的協同脅迫(非單一因素超標)導致蛤仔能量耗竭(糖原銳減)和生理崩潰(CI下降),2019年中潮區三重脅迫疊加引發80%死亡率(圖5, 圖7)。

關鍵指標:糖原含量較CI更早反映脅迫(7月即顯著下降),是有效的早期預警指標(圖6b)。
密度效應:高養殖密度(中潮區)加劇有機污染,促進低氧/H?S生成,增加死亡風險(表1顯示中潮區OC與H?S正相關)。
管理建議:夏季需重點監控底層DO,及時干預;優化養殖密度,優先選擇水交換強的區域。